| 查看: 2303 | 回复: 11 | ||
civicli银虫 (小有名气)
|
[求助]
循环伏安测试曲线铜离子还原峰与文献差异巨大! 已有6人参与
|
|
|
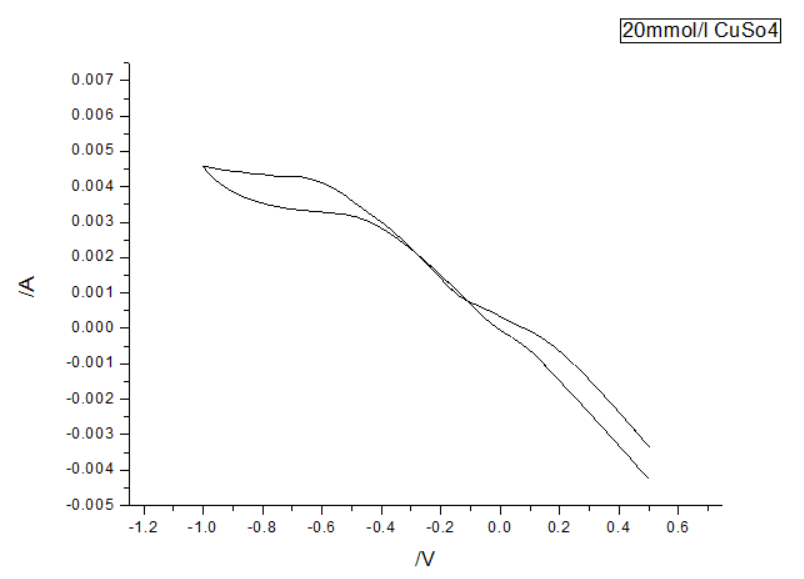
最近打算采用电化学沉积的方法在Mo表面镀一层铜,根据能斯特方程计算出25℃下,中性电解液中,20mM的Cu2+的还原电位是0.29V,可是我用CHI660电化学工作站进行循环伏安测试,参比电极为饱和甘汞电极,测试出的循环伏安曲线在0.29V附近根本就没有出现还原峰,我想知道到底问题处在了哪里?另外我想问一下,为什么我的还原电位是正的,氧化电位是负的? Cu循环伏安.PNG |
» 猜你喜欢
海南师范大学2026年博士研究生招收 (在职想提升学历人员可报考) 申请考核制
已经有0人回复
锂离子电池循环寿命衰减过快,求机理分析与改进思路
已经有2人回复
物理化学论文润色/翻译怎么收费?
已经有218人回复
求博导收留
已经有6人回复
CSC & MSCA 博洛尼亚大学能源材料课题组博士/博士后招生|MSCA经费充足、排名优
已经有6人回复
德国Karlsruhe Institute of Technology招收电化学储能及联合培养CSC博士等
已经有20人回复
德国Karlsruhe Institute of Technology招收电化学储能及联合培养CSC博士
已经有22人回复
德国Karlsruhe Institute of Technology招收电化学储能及联合培养CSC博士
已经有1人回复
固态锂金属电池迁移数计算求助
已经有1人回复
荷兰奈梅亨大学赵文博与Galimberti课题组招收理论计算CSC博士 2000 欧元/月+房补
已经有0人回复
26储能博士申请自荐
已经有19人回复
Mr张弓长
金虫 (正式写手)
- 应助: 6 (幼儿园)
- 金币: 1449.8
- 散金: 165
- 红花: 6
- 帖子: 303
- 在线: 47.2小时
- 虫号: 3492404
- 注册: 2014-10-22
- 性别: GG
- 专业: 半导体材料

3楼2016-10-26 15:47:44
civicli
银虫 (小有名气)
- 应助: 0 (幼儿园)
- 金币: 442.7
- 散金: 21
- 帖子: 183
- 在线: 36.7小时
- 虫号: 1275129
- 注册: 2011-04-23
- 性别: GG
- 专业: 半导体材料
4楼2016-10-26 20:40:25
★ ★ ★ ★ ★
感谢参与,应助指数 +1
低调小弟: 金币-5, 应助指数-1, 屏蔽内容, 违规存档, 下次注意,别再粘贴别人问题作为答案,谢谢。 2016-10-27 15:27:44
感谢参与,应助指数 +1
低调小弟: 金币-5, 应助指数-1, 屏蔽内容, 违规存档, 下次注意,别再粘贴别人问题作为答案,谢谢。 2016-10-27 15:27:44
|
本帖内容被屏蔽 |
2楼2016-10-26 15:42:29
5楼2016-10-26 22:46:48
6楼2016-10-27 10:34:22
7楼2016-10-27 11:05:01
sxguo
木虫 (小有名气)
- 应助: 15 (小学生)
- 金币: 2157.3
- 红花: 4
- 帖子: 124
- 在线: 89.1小时
- 虫号: 4863547
- 注册: 2016-07-23
- 性别: MM
- 专业: 电化学
8楼2016-10-27 14:21:42
天龙八部
铁杆木虫 (正式写手)
- 应助: 18 (小学生)
- 金币: 6382.5
- 散金: 80
- 红花: 4
- 帖子: 553
- 在线: 200.9小时
- 虫号: 843028
- 注册: 2009-09-08
- 专业: 金属材料表面科学与工程
9楼2016-10-28 08:25:12
小冀-
版主 (著名写手)
- 应助: 713 (博后)
- 贵宾: 3.033
- 金币: 11446.9
- 散金: 1055
- 红花: 82
- 帖子: 2509
- 在线: 445.9小时
- 虫号: 1521695
- 注册: 2011-12-03
- 性别: GG
- 专业: 生物信息学
- 管辖: 微生物

10楼2016-10-28 08:48:06













回复此楼

