| 查看: 1802 | 回复: 2 | |||
JOHO5574新虫 (正式写手)
|
[求助]
电极的表示方法 已有1人参与
|
|
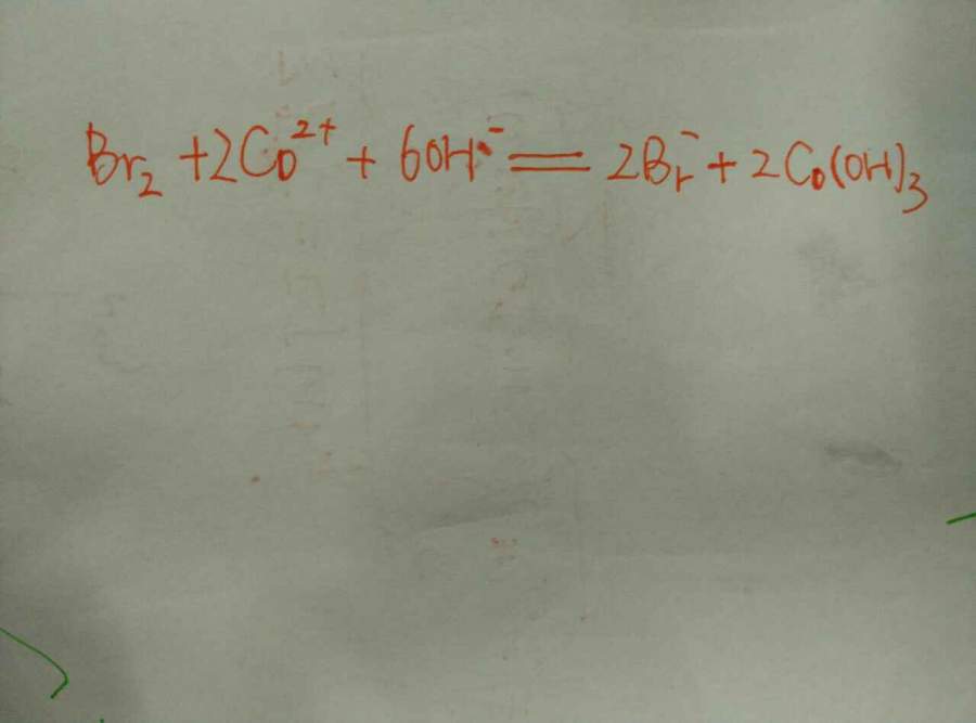
Co(OH)3 +e=3OH-+Co2+ 这个电极该如何表示,下面这样表示是否正确? Pt|Co2+|Co(OH)3|OH- 或者Pt|Co(OH)3|Co2+‖OH- 发自小木虫Android客户端 |
» 猜你喜欢
什么脱膜剂可以完全清洗干净啊?
已经有2人回复
暨南大学化学与材料学院赵宇亮院士正在招博士和博后,方向为生物材料和纳米医学
已经有1人回复
有机高分子材料论文润色/翻译怎么收费?
已经有81人回复
可生物降解聚酯正在重塑现代医疗器械
已经有0人回复
26届博士申请
已经有2人回复
PLLA 微球在生物医学领域的研究与应用
已经有1人回复
PLLA 微球的材料特性与制备工艺解析
已经有0人回复
医用聚己内酯(PCL)全解析:从两段式降解到组织工程应用
已经有0人回复
反相硅胶如何再生?
已经有1人回复
jiagle
专家顾问 (知名作家)
-

专家经验: +5165 - ICEPI: 166
- 应助: 5678 (副教授)
- 贵宾: 2.513
- 金币: 84732.4
- 散金: 10041
- 红花: 513
- 帖子: 8620
- 在线: 1197.9小时
- 虫号: 1960227
- 注册: 2012-08-28
- 性别: GG
- 专业: 无机材料化学
- 管辖: 无机/物化
2楼2016-10-24 17:59:15
JOHO5574
新虫 (正式写手)
- 应助: 17 (小学生)
- 金币: 1454.7
- 散金: 205
- 红花: 2
- 帖子: 714
- 在线: 172.1小时
- 虫号: 4160320
- 注册: 2015-10-20
- 性别: GG
- 专业: 有机合成
3楼2016-10-24 18:37:20













回复此楼
10