| ²é¿´: 604 | »Ø¸´: 4 | ||
li_qunͳæ (ÖøÃûдÊÖ)
|
[ÇóÖú]
ÐÂÊÖÇóÖúÒ»¸ö»ý·ÖµÄÎÊÌâ
|
|
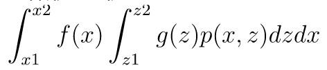
ÕâÑùÐÎʽµÄ»ý·Ö£º f(x)¡¢p(x,z)¶¼ÓÐÃ÷È·µÄÐÎʽ£¬µ«g(z)Ϊһ¸öÀëÉ¢µÄÊý×飬ûÓнâÎöÐÎʽ£¬ÇëÎÊ´óÏÍ£¬ÓÐûÓÐÄÜÓõĺ¯ÊýÍê³ÉÕâÑùÒ»¸ö»ý·Ö£¿Ä©Ñ§¸Ð¼¤ÌéÁ㣡 |
» ²ÂÄãϲ»¶
Ò»Ö¾Ô¸°²»Õ´óѧ0817»¯Ñ§¹¤³ÌÓë¼¼Êõ£¬Çóµ÷¼Á
ÒѾÓÐ11È˻ظ´
Çó²ÄÁϵ÷¼Á£¬Ò»Ö¾Ô¸Ö£ÖÝ´óѧ289·Ö
ÒѾÓÐ3È˻ظ´
265Çóµ÷¼Á
ÒѾÓÐ9È˻ظ´
085600²ÄÁÏÓ뻯¹¤µ÷¼Á
ÒѾÓÐ20È˻ظ´
ר˶ 351 086100 Ò²ÊÇ¿¼µÄ²Ä¿Æ»ù ±¾¿ÆÒ²ÊDzÄÁÏ
ÒѾÓÐ6È˻ظ´
085600ר˶²ÄÁÏÓ뻯¹¤348·ÖÇóµ÷¼Á
ÒѾÓÐ10È˻ظ´
085600 295·ÖÇóµ÷¼Á
ÒѾÓÐ21È˻ظ´
285Çóµ÷¼Á
ÒѾÓÐ5È˻ظ´
Ò»Ö¾Ô¸0817»¯Ñ§¹¤³ÌÓë¼¼Êõ£¬Çóµ÷¼Á
ÒѾÓÐ8È˻ظ´
271·ÖÇóµ÷¼ÁѧУ
ÒѾÓÐ3È˻ظ´
» ±¾Ö÷ÌâÏà¹Ø¼ÛÖµÌùÍÆ¼ö£¬¶ÔÄúͬÑùÓаïÖú:
»Ø×ªÌåÁã¼þ˲̬¼ÓÈÈ·ÖÎö,ÇóÖú£¡
ÒѾÓÐ5È˻ظ´
¡¾ÇóÖú¡¿ÓйØDecovolutionÔÚÖÊÆ×Æ×ͼ·ÖÎöÖеĽâÊÍ
ÒѾÓÐ2È˻ظ´
¸÷λ´óÉñ£¬ÐÂÊÖÇóÖúmatlabÎÊÌ⣡
ÒѾÓÐ1È˻ظ´
ÇóÖú²¨Æ×½âÎöÎÊÌâ
ÒѾÓÐ4È˻ظ´
¡¾ÇóÖú¡¿matlab³ÌÐòÎÊÌâ
ÒѾÓÐ0È˻ظ´
¡¾¼±Çó¡¿matlab 7.7¼°ÒÔÉÏ»·¾³ÏµĻý·Öº¯ÊýÓ¦ÓÃÎÊÌâ
ÒѾÓÐ0È˻ظ´
ÇóÖú£¬µç»¯Ñ§»îÐԱȱíÃæ»ýµÄ¼ÆË㣡£¡£¡
ÒѾÓÐ2È˻ظ´
¡¾ÇóÖú/½»Á÷¡¿SCI´ÓÈëÃŵ½¾«Í¨£¨×ªÔØ£©
ÒѾÓÐ80È˻ظ´
sovereig
Òø³æ (СÓÐÃûÆø)
- Ó¦Öú: 1 (Ó×¶ùÔ°)
- ½ð±Ò: 1965.3
- ºì»¨: 2
- Ìû×Ó: 157
- ÔÚÏß: 186Сʱ
- ³æºÅ: 2811361
- ×¢²á: 2013-11-19
- ÐÔ±ð: GG
- רҵ: º£Ñó¿ÆÑ§
2Â¥2016-10-20 12:14:20
li_qun
ͳæ (ÖøÃûдÊÖ)
- Ó¦Öú: 2 (Ó×¶ùÔ°)
- ½ð±Ò: 61
- É¢½ð: 759
- ºì»¨: 3
- Ìû×Ó: 1240
- ÔÚÏß: 419.7Сʱ
- ³æºÅ: 692320
- ×¢²á: 2009-01-14
3Â¥2016-10-26 16:58:22
sovereig
Òø³æ (СÓÐÃûÆø)
- Ó¦Öú: 1 (Ó×¶ùÔ°)
- ½ð±Ò: 1965.3
- ºì»¨: 2
- Ìû×Ó: 157
- ÔÚÏß: 186Сʱ
- ³æºÅ: 2811361
- ×¢²á: 2013-11-19
- ÐÔ±ð: GG
- רҵ: º£Ñó¿ÆÑ§
|
Êǵ쬷ֶÎÄâºÏЧ¹û»á²»´í ·¢×ÔСľ³æAndroid¿Í»§¶Ë |
» ±¾ÌûÒÑ»ñµÃµÄºì»¨£¨×îÐÂ10¶ä£©
4Â¥2016-10-26 21:49:08
li_qun
ͳæ (ÖøÃûдÊÖ)
- Ó¦Öú: 2 (Ó×¶ùÔ°)
- ½ð±Ò: 61
- É¢½ð: 759
- ºì»¨: 3
- Ìû×Ó: 1240
- ÔÚÏß: 419.7Сʱ
- ³æºÅ: 692320
- ×¢²á: 2009-01-14
5Â¥2016-10-28 13:36:12














»Ø¸´´ËÂ¥
li_qun