版块导航
正在加载中...
客户端APP下载
论文辅导
申博辅导
登录
注册
帖子
帖子
用户
本版
应《网络安全法》要求,自2017年10月1日起,未进行实名认证将不得使用互联网跟帖服务。为保障您的帐号能够正常使用,请尽快对帐号进行手机号验证,感谢您的理解与支持!
24小时热门版块排行榜
>
论坛更新日志
(3379)
>
文献求助
(347)
>
导师招生
(244)
>
虫友互识
(213)
>
硕博家园
(86)
>
考博
(80)
>
论文投稿
(66)
>
休闲灌水
(59)
>
博后之家
(55)
>
SciFinder/Reaxys
(49)
>
论文道贺祈福
(49)
>
教师之家
(44)
>
基金申请
(38)
>
找工作
(38)
>
考研
(38)
>
绿色求助(高悬赏)
(37)
小木虫论坛-学术科研互动平台
»
专业学科区
»
数学
»
基础数学
»
求解一个复变函数积分
8
1/1
返回列表
查看: 1270 | 回复: 7
只看楼主
@他人
存档
新回复提醒
(忽略)
收藏
在APP中查看
su41111220
金虫
(小有名气)
应助: 2
(幼儿园)
金币: 255.5
散金: 5
红花: 9
帖子: 126
在线: 291.9小时
虫号: 3180665
注册: 2014-05-04
专业: 流体力学
[
求助
]
求解一个复变函数积分
已有2人参与
a,b,c都是常数,求大神帮忙解这个积分值
捕获.PNG
回复此楼
» 猜你喜欢
酰胺脱乙酰基
已经有9人回复
有时候真觉得大城市人没有县城人甚至个体户幸福
已经有3人回复
CSC & MSCA 博洛尼亚大学能源材料课题组博士/博士后招生|MSCA经费充足、排名优
已经有5人回复
有70后还继续奋斗在职场上的吗?
已经有6人回复
博士延得我,科研能力直往上蹿
已经有7人回复
退学或坚持读
已经有27人回复
面上基金申报没有其他的参与者成吗
已经有5人回复
遇见不省心的家人很难过
已经有22人回复
» 本主题相关价值贴推荐,对您同样有帮助:
弹性板理论
已经有47人回复
do you agree with the ranking of the genius scientists?
已经有7人回复
请教一个关于复变函数的积分问题
已经有7人回复
浙江大学电路原理及网络理论(内部课件)
已经有144人回复
通俗数学名着译丛-虚数的故事
已经有77人回复
【转帖】流体力学的路线图(转自流体中文网周华的博客)
已经有60人回复
浙江工业大学国家基金名单(2012-94项)
已经有41人回复
【原创】有关高端数学问题的书——每日更新【已搜无重复】
已经有134人回复
傅立叶变换的物理意义
已经有9人回复
【软件】Mathmatica 软件 7.0版
已经有68人回复
【求助】请求帮忙求解遇到的一个复变函数积分,谢谢!
已经有0人回复
【分享】量化软件 - 输运相关 (zz)
已经有13人回复
【书籍】《常用算法程序集》
已经有44人回复
1楼
2016-10-11 22:12:56
已阅
回复此楼
关注TA
给TA发消息
送TA红花
TA的回帖
Fattorini
铜虫
(正式写手)
应助: 3
(幼儿园)
金币: 342.5
红花: 1
帖子: 674
在线: 73.3小时
虫号: 5002345
注册: 2016-09-11
专业: 常微分方程与动力系统
【答案】应助回帖
★ ★ ★ ★ ★
感谢参与,应助指数 +1
su41111220: 金币+5,
★
有帮助
2016-10-12 13:52:05
这个,直接用欧拉公式即可。一般的复变函数教材讲到留数的应用的时候都会讲这种例子
赞
一下
回复此楼
为什么选择这一天注册!
2楼
2016-10-12 09:33:00
已阅
回复此楼
关注TA
给TA发消息
送TA红花
TA的回帖
001gqs
银虫
(小有名气)
应助: 30
(小学生)
金币: 781.1
红花: 4
帖子: 62
在线: 23.6小时
虫号: 1963156
注册: 2012-08-30
专业: 数理逻辑和与计算机相关的
【答案】应助回帖
★ ★ ★ ★ ★ ★ ★ ★ ★ ★ ★ ★ ★ ★ ★ ★ ★ ★ ★ ★ ★ ★ ★ ★ ★ ★ ★ ★ ★ ★ ★ ★ ★ ★ ★ ★ ★ ★ ★ ★ ★ ★ ★ ★ ★
感谢参与,应助指数 +1
su41111220: 金币+45,
★★★★★
最佳答案
2016-10-12 13:52:11
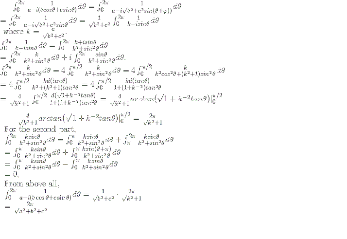
附图有解答。
CodeCogsEqn1.gif
CodeCogsEqn.gif
赞
一下
回复此楼
强悍的老民科
3楼
2016-10-12 13:22:20
已阅
回复此楼
关注TA
给TA发消息
送TA红花
TA的回帖
su41111220
金虫
(小有名气)
应助: 2
(幼儿园)
金币: 255.5
散金: 5
红花: 9
帖子: 126
在线: 291.9小时
虫号: 3180665
注册: 2014-05-04
专业: 流体力学
引用回帖:
3楼
:
Originally posted by
001gqs
at 2016-10-12 13:22:20
附图有解答。
CodeCogsEqn1.gif
CodeCogsEqn.gif
...
请问能不能给一下具体的参考书
赞
一下
回复此楼
4楼
2016-10-12 13:53:18
已阅
回复此楼
关注TA
给TA发消息
送TA红花
TA的回帖
su41111220
金虫
(小有名气)
应助: 2
(幼儿园)
金币: 255.5
散金: 5
红花: 9
帖子: 126
在线: 291.9小时
虫号: 3180665
注册: 2014-05-04
专业: 流体力学
引用回帖:
4楼
:
Originally posted by
su41111220
at 2016-10-12 13:53:18
请问能不能给一下具体的参考书...
原来的公式是这样的,后面还有引申,我想请问一下,有没有涉及到这种格式的参考书,麻烦你了
1.PNG
2.PNG
赞
一下
回复此楼
5楼
2016-10-12 14:06:10
已阅
回复此楼
关注TA
给TA发消息
送TA红花
TA的回帖
001gqs
银虫
(小有名气)
应助: 30
(小学生)
金币: 781.1
红花: 4
帖子: 62
在线: 23.6小时
虫号: 1963156
注册: 2012-08-30
专业: 数理逻辑和与计算机相关的
引用回帖:
5楼
:
Originally posted by
su41111220
at 2016-10-12 14:06:10
原来的公式是这样的,后面还有引申,我想请问一下,有没有涉及到这种格式的参考书,麻烦你了
1.PNG
2.PNG
...
我是自己写的,没有参考书啊,实在抱歉。
你附件里的公式没太看懂。x',y',z'是表示什么?
赞
一下
回复此楼
强悍的老民科
6楼
2016-10-13 11:29:02
已阅
回复此楼
关注TA
给TA发消息
送TA红花
TA的回帖
su41111220
金虫
(小有名气)
应助: 2
(幼儿园)
金币: 255.5
散金: 5
红花: 9
帖子: 126
在线: 291.9小时
虫号: 3180665
注册: 2014-05-04
专业: 流体力学
引用回帖:
6楼
:
Originally posted by
001gqs
at 2016-10-13 11:29:02
我是自己写的,没有参考书啊,实在抱歉。
你附件里的公式没太看懂。x',y',z'是表示什么?...
x',y',z'都为直角坐标,r'为极坐标,看作常数,最后有x'2+y'2+z'2=r'2
赞
一下
回复此楼
7楼
2016-10-13 14:43:08
已阅
回复此楼
关注TA
给TA发消息
送TA红花
TA的回帖
001gqs
银虫
(小有名气)
应助: 30
(小学生)
金币: 781.1
红花: 4
帖子: 62
在线: 23.6小时
虫号: 1963156
注册: 2012-08-30
专业: 数理逻辑和与计算机相关的
引用回帖:
7楼
:
Originally posted by
su41111220
at 2016-10-13 14:43:08
x',y',z'都为直角坐标,r'为极坐标,看作常数,最后有x'2+y'2+z'2=r'2...
那我明白了,这个公式是可以证明的,只需要做坐标变换就可以了。
赞
一下
回复此楼
强悍的老民科
8楼
2016-10-13 15:53:50
已阅
回复此楼
关注TA
给TA发消息
送TA红花
TA的回帖
相关版块跳转
数理科学综合
机械
物理
数学
农林
食品
地学
能源
信息科学
土木建筑
航空航天
转基因
我要订阅楼主
su41111220
的主题更新
8
1/1
返回列表
如果回帖内容含有宣传信息,请如实选中。否则帐号将被全论坛禁言
普通表情
龙
兔
虎
猫
百度网盘
|
360云盘
|
千易网盘
|
华为网盘
在新窗口页面中打开自己喜欢的网盘网站,将文件上传后,然后将下载链接复制到帖子内容中就可以了。
信息提示
关闭
请填处理意见
关闭
确定