| 查看: 667 | 回复: 5 | ||
宇宙之王铁杆木虫 (著名写手)
|
[求助]
求助一道物化题 已有1人参与
|
|
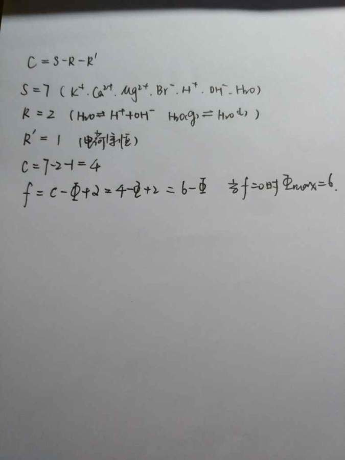
第4题,这里的组分数如何计算,求高手指教 发自小木虫IOS客户端 |
» 猜你喜欢
武汉纺织大学-材料科学与工程学院-姜伟杰青团队-招生物方向调剂
已经有0人回复
武汉纺织大学-材料科学与工程学院-招 生物方向 硕士!
已经有0人回复
有机高分子材料论文润色/翻译怎么收费?
已经有296人回复
武汉纺织大学-材料科学与工程学院-姜伟杰青团队-招生物方向调剂
已经有0人回复
[武汉纺织大学]材料学院[姜伟团队名称]课题组-2026年硕士研究生调剂信息
已经有0人回复
武汉纺织大学-材料科学与工程学院-姜伟杰青团队-招调剂
已经有0人回复
生物医学材料前沿科普:低密度、高孔隙率的“多孔微球”核心技术与应用全景
已经有1人回复
湖南工业大学周贵寅组招生物医学工程(学硕07、08都行)、生物与医药(专硕08)硕士生
已经有0人回复
湖南工业大学周贵寅组招生物医学工程(学硕07、08都行)和生物与医药(专硕08)硕士生
已经有0人回复
考研求调剂
已经有0人回复
2026年中南民族大学化学与材料科学学院调剂公告
已经有23人回复
» 本主题相关价值贴推荐,对您同样有帮助:
求助一道物化题的答案
已经有7人回复
求助一道物化题
已经有8人回复
求助一道物化题 各位路过的大神帮帮忙啊
已经有3人回复
一道物化题求助
已经有4人回复
求助一道物化题 希望大侠解答感谢了
已经有3人回复
求助一道物化题!(关于吉布斯自由能与饱和蒸汽压)
已经有6人回复
求助一道物化题
已经有3人回复
求助一道物化题答案
已经有1人回复
求助一道物化题,
已经有7人回复
求助一道物化题
已经有16人回复
求助一道物化题:氯化钠溶液稀释做的有用功。
已经有0人回复
【求助】一道物化题
已经有5人回复
【求助】一道物化题
已经有2人回复
luckygirlgjr
银虫 (小有名气)
- 应助: 22 (小学生)
- 金币: 286.3
- 散金: 4
- 红花: 2
- 帖子: 179
- 在线: 59.2小时
- 虫号: 5049569
- 注册: 2016-09-23
- 专业: 电化学
2楼2016-10-04 08:25:08
luckygirlgjr
银虫 (小有名气)
- 应助: 22 (小学生)
- 金币: 286.3
- 散金: 4
- 红花: 2
- 帖子: 179
- 在线: 59.2小时
- 虫号: 5049569
- 注册: 2016-09-23
- 专业: 电化学
【答案】应助回帖
★ ★ ★ ★
感谢参与,应助指数 +1
宇宙之王: 金币+3, ★★★很有帮助, 谢谢回帖 2016-10-05 23:46:48
冰点降温: 金币+1, 谢谢回帖,欢迎常来无机物化版块。 2016-10-07 12:54:17
感谢参与,应助指数 +1
宇宙之王: 金币+3, ★★★很有帮助, 谢谢回帖 2016-10-05 23:46:48
冰点降温: 金币+1, 谢谢回帖,欢迎常来无机物化版块。 2016-10-07 12:54:17
不知道对不对(~_~ ,如果不对请大家指正。发自小木虫Android客户端 |
3楼2016-10-04 08:36:26
宇宙之王
铁杆木虫 (著名写手)
- 应助: 13 (小学生)
- 金币: 9331.7
- 散金: 79
- 红花: 32
- 帖子: 1717
- 在线: 391.5小时
- 虫号: 2856651
- 注册: 2013-12-08
- 专业: 药物化学
4楼2016-10-04 08:55:38
★ ★ ★
宇宙之王(冰点降温代发): 金币+2 2016-10-07 12:55:34
冰点降温: 金币+1, 谢谢回帖,欢迎常来无机物化版块。 2016-10-07 12:55:50
宇宙之王(冰点降温代发): 金币+2 2016-10-07 12:55:34
冰点降温: 金币+1, 谢谢回帖,欢迎常来无机物化版块。 2016-10-07 12:55:50
|
S=7 R=1 仅一个水的解离平衡 R,=2 电荷守恒,氢离子等于氢氧根,所以C=4 相数最多为6 发自小木虫Android客户端 |
5楼2016-10-07 00:06:20
宇宙之王
铁杆木虫 (著名写手)
- 应助: 13 (小学生)
- 金币: 9331.7
- 散金: 79
- 红花: 32
- 帖子: 1717
- 在线: 391.5小时
- 虫号: 2856651
- 注册: 2013-12-08
- 专业: 药物化学
6楼2016-10-07 08:50:51














回复此楼
,如果不对请大家指正。
5