| 查看: 472 | 回复: 1 | |
Raise-me-up木虫 (正式写手)
|
[求助]
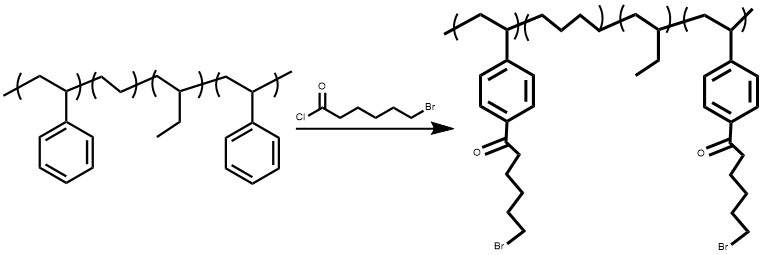
SEBS傅克酰基化反应求助
|
|
|
|
Raise-me-up木虫 (正式写手)
|
|
|
2楼2016-09-21 11:38:05
|
|














回复此楼