| 查看: 1343 | 回复: 5 | ||
yinuolixuan金虫 (小有名气)
|
[求助]
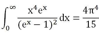
求各位大神帮忙解决一个积分的问题 已有2人参与
|
|
|
|
||
Edstrayer版主 (著名写手)
方寸斗室小天地正气迷漫大世界
|
||
![]() |
||
|
2楼2016-09-18 03:30:09
|
|
|
hank612至尊木虫 (著名写手)
|
【答案】应助回帖
感谢参与,应助指数 +1
» 本帖已获得的红花(最新10朵) |
|
![]() |
||
|
3楼2016-09-18 03:33:00
|
|
|
yinuolixuan金虫 (小有名气)
|
||
|
4楼2016-09-18 08:36:02
|
|
|
yinuolixuan金虫 (小有名气)
|
||
|
5楼2016-09-18 08:37:26
|
|
|
yinuolixuan金虫 (小有名气)
|
||
|
6楼2016-09-18 08:39:42
|
|













回复此楼

yinuolixuan