| 查看: 3227 | 回复: 10 | |||
shakerspear至尊木虫 (著名写手)
|
[交流]
原来还可以这样求球谐函数 已有3人参与
|
||
|
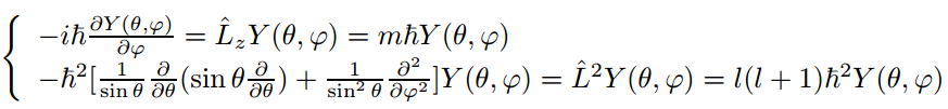
这篇文章http://arxiv.org/abs/1201.0136里,把公式 中的|lm>换成 变成一个超定方程组,倒确实可以求出球谐函数。已知角动量算符的微分形式 当l=0时,可以通过方程组 利用波函数的正交归一性,来求出基态波函数 当l=1时,m=-1,0,1,可以通过方程组 来求出波函数 再利用求得的波函数 当l=2时 ... ... 类似地,可以求出所有的球谐函数 这样,就可以不用像教材上一样,要求二阶微分方程 [ Last edited by shakerspear on 2016-9-9 at 15:45 ] |
» 猜你喜欢
天津大学招2026.09的博士生,欢迎大家推荐交流(博导是本人)
已经有11人回复
表哥与省会女结婚,父母去帮带孩子被省会女气回家生重病了
已经有9人回复
AI 太可怕了,写基金时,提出想法,直接生成的文字比自己想得深远,还有科学性
已经有10人回复
同年申请2项不同项目,第1个项目里不写第2个项目的信息,可以吗
已经有10人回复
依托企业入选了国家启明计划青年人才。有无高校可以引进的。
已经有11人回复
依托企业入选了国家启明计划青年人才。有无高校可以引进的。
已经有11人回复
光着脚丫旅行
木虫 (正式写手)
- 应助: 0 (幼儿园)
- 金币: 1488.4
- 散金: 179
- 红花: 1
- 帖子: 500
- 在线: 121.7小时
- 虫号: 3649117
- 注册: 2015-01-16
- 专业: 基础物理学
6楼2016-09-08 07:08:15
shakerspear
至尊木虫 (著名写手)
|
2楼2016-09-07 08:31:54
ra2ghgzh
木虫 (正式写手)
学痴
- 物理EPI: 1
- 应助: 113 (高中生)
- 金币: 2136.9
- 散金: 5
- 红花: 33
- 帖子: 773
- 在线: 444.6小时
- 虫号: 3739328
- 注册: 2015-03-15
- 性别: GG
- 专业: 原子和分子物理

3楼2016-09-07 08:33:33
shakerspear
至尊木虫 (著名写手)
- 应助: 11 (小学生)
- 金币: 12779.3
- 红花: 1
- 帖子: 1015
- 在线: 144.7小时
- 虫号: 400223
- 注册: 2007-06-12
- 专业: 基础物理学
4楼2016-09-07 08:47:24
shakerspear
至尊木虫 (著名写手)
- 应助: 11 (小学生)
- 金币: 12779.3
- 红花: 1
- 帖子: 1015
- 在线: 144.7小时
- 虫号: 400223
- 注册: 2007-06-12
- 专业: 基础物理学
5楼2016-09-07 08:57:14
shakerspear
至尊木虫 (著名写手)
- 应助: 11 (小学生)
- 金币: 12779.3
- 红花: 1
- 帖子: 1015
- 在线: 144.7小时
- 虫号: 400223
- 注册: 2007-06-12
- 专业: 基础物理学
7楼2016-09-08 07:32:35
光着脚丫旅行
木虫 (正式写手)
- 应助: 0 (幼儿园)
- 金币: 1488.4
- 散金: 179
- 红花: 1
- 帖子: 500
- 在线: 121.7小时
- 虫号: 3649117
- 注册: 2015-01-16
- 专业: 基础物理学
8楼2016-09-08 09:09:58
shakerspear
至尊木虫 (著名写手)
- 应助: 11 (小学生)
- 金币: 12779.3
- 红花: 1
- 帖子: 1015
- 在线: 144.7小时
- 虫号: 400223
- 注册: 2007-06-12
- 专业: 基础物理学
9楼2016-09-08 09:18:08
holisky
新虫 (小有名气)
- 应助: 1 (幼儿园)
- 金币: 122.6
- 散金: 80
- 帖子: 136
- 在线: 46.3小时
- 虫号: 2611188
- 注册: 2013-08-22
- 性别: GG
- 专业: 金属材料的合金相、相变及
10楼2016-09-09 22:51:56













回复此楼
