| 查看: 309 | 回复: 1 | ||
xiaohu904铁虫 (小有名气)
|
[求助]
机器人标定过程中方程组的计算
|
|
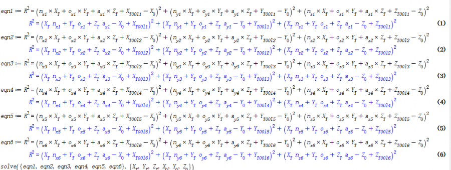
在机器人标定过程中,需要接一个下列的方程组,不知道采用什么方法求解?其中有六个未知数(X0,Y0,Z0,Xt,Yt,Zt),剩下的都是已知数,在Maple中输入下列方程组,一直显示在运行中,也没有算出结果来,求大神帮忙解答(能给出详细的计算过程更好,拜托啦)! 方程组.png |
» 猜你喜欢
271求调剂
已经有38人回复
293求调剂
已经有18人回复
327求调剂
已经有22人回复
材料085601调剂
已经有33人回复
求调剂
已经有14人回复
求调剂
已经有11人回复
化学070300 求调剂
已经有21人回复
297工科调剂?
已经有3人回复
300分求调剂 (085501机械专硕,本科扬大)
已经有9人回复
调剂求收留
已经有32人回复
xiaohu904
铁虫 (小有名气)
- 应助: 1 (幼儿园)
- 金币: 1252
- 帖子: 170
- 在线: 49.1小时
- 虫号: 3905033
- 注册: 2015-06-02
- 性别: GG
- 专业: 机构学与机器人
2楼2016-08-31 22:16:39














回复此楼