| 查看: 282 | 回复: 1 | |
Dewon Lei新虫 (小有名气)
|
[求助]
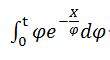
如何给出其近似解析式
|
![]() |
|
|
|
|
Dewon Lei新虫 (小有名气)
|
|
![]() |
|
|
2楼2016-08-05 19:44:38
|
|














回复此楼