| ²é¿´: 512 | »Ø¸´: 2 | ||
guangliangziгæ (ÕýʽдÊÖ)
|
[ÇóÖú]
Çó½âÒ»µÀ΢·Ö·½³Ì ÒÑÓÐ1È˲ÎÓë
|
|
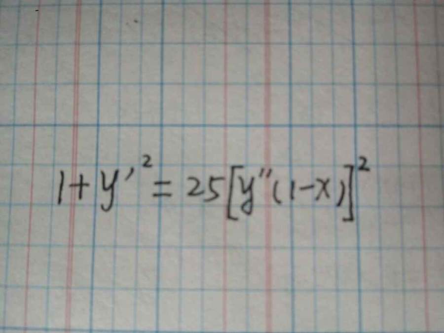
ÈçÏÂͼ£¬¾ù´øÆ½·½µÄ΢·Ö·½³ÌÔõô½â? @laosam280 ·¢×ÔСľ³æAndroid¿Í»§¶Ë |
» ²ÂÄãϲ»¶
270Çóµ÷¼Á
ÒѾÓÐ8È˻ظ´
211±¾¿Æ²ÄÁÏ»¯¹¤Çóµ÷¼Á
ÒѾÓÐ6È˻ظ´
Çóµ÷¼Á
ÒѾÓÐ10È˻ظ´
Çóµ÷¼Á
ÒѾÓÐ11È˻ظ´
272·Ö²ÄÁÏ×ÓÇóµ÷¼Á
ÒѾÓÐ43È˻ظ´
271Çóµ÷¼Á
ÒѾÓÐ13È˻ظ´
283Çóµ÷¼Á 086004¿¼Ó¢¶þÊý¶þ
ÒѾÓÐ16È˻ظ´
085410 273·Öµ÷¼Á
ÒѾÓÐ4È˻ظ´
Ò»Ö¾Ô¸Ïôó0856£¬306Çóµ÷¼Á
ÒѾÓÐ3È˻ظ´
304Çóµ÷¼Á£¨085602£¬¹ýËļ¶£¬Ò»Ö¾Ô¸985£©
ÒѾÓÐ28È˻ظ´
peterflyer
ľ³æÖ®Íõ (ÎÄѧ̩¶·)
peterflyer
- ÊýѧEPI: 10
- Ó¦Öú: 20282 (Ժʿ)
- ½ð±Ò: 146244
- ºì»¨: 1374
- Ìû×Ó: 93091
- ÔÚÏß: 7694.3Сʱ
- ³æºÅ: 1482829
- ×¢²á: 2011-11-08
- ÐÔ±ð: GG
- רҵ: ¹¦ÄÜÌÕ´É
¡¾´ð°¸¡¿Ó¦Öú»ØÌû
¸Ðл²ÎÓ룬ӦÖúÖ¸Êý +1
|
Áîu=y'£¬Ôòy"=du/dx,Ô·½³ÌÁ½±ß¿ª·½²¢½«Ç°Ê½´úÈ룺 +-Sqrt(1+u^2)=5*du/dx*(1-x) du/sqrt(1+u^2)=+-dx/[5*(1-x)] Óɴ˿ɵõ½dy/dx=f(x)µÄÐÎʽ¡£Ôٴλý·ÖµÃµ½yµÄ±í´ïʽ¡£ |
2Â¥2016-07-31 18:40:38
guangliangzi
гæ (ÕýʽдÊÖ)
- Ó¦Öú: 5 (Ó×¶ùÔ°)
- ½ð±Ò: 2039.4
- É¢½ð: 589
- ºì»¨: 2
- Ìû×Ó: 348
- ÔÚÏß: 38.3Сʱ
- ³æºÅ: 4056301
- ×¢²á: 2015-09-07
- ÐÔ±ð: GG
- רҵ: ÄÜÔ´»¯¹¤
3Â¥2016-08-01 00:04:29













»Ø¸´´ËÂ¥