| 查看: 797 | 回复: 4 | |
[求助]
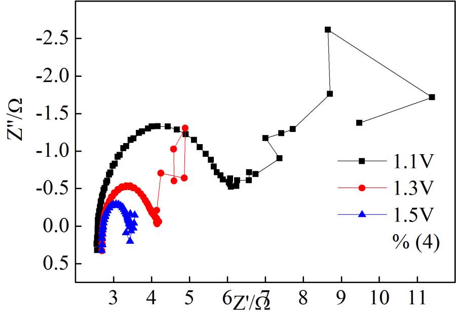
电镀Ni阻抗谱 已有1人参与
|
|
![]() |
|
|
|
|
![]() |
|
|
2楼2016-07-24 10:04:08
|
|
george_hai木虫 (正式写手)
|
|
|
3楼2016-07-24 10:19:13
|
|
![]() |
|
|
4楼2016-07-24 10:25:51
|
|
![]() |
|
|
5楼2016-07-24 15:34:28
|
|
















回复此楼
低调小弟
130