| 查看: 2422 | 回复: 11 | ||
last瑠可专家顾问
|
[求助]
关于介孔材料氮吸附的吸脱附曲线数据分析 已有3人参与
|
|
|
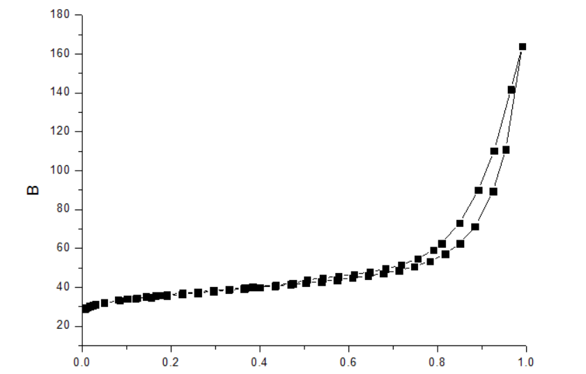
我是做介孔材料的,求帮忙分析下下图中的氮吸附数据: 1图中吸脱附曲线,回滞环很小是表示孔径分布很窄吗?感觉跟后面的吸脱附孔径分布图不太匹配 2图是脱附分支的孔径分布 3图是吸附分支的孔径分布 1.png 2.png 3.png |
» 猜你喜欢
大连工业大学招硕士研究生
已经有0人回复
关于研究生调剂的些许建议
已经有1人回复
专业论文润色/翻译怎么收费?
已经有110人回复
辽宁:大连工业大学,文字为导师详细信息,图片为团队介绍,欢迎报名
已经有0人回复
武汉轻工大学化环学院招收调剂
已经有6人回复
武汉轻工大学化环学院招调剂
已经有0人回复
塑料油分析测试
已经有1人回复
大连工业大学招硕士研究生
已经有0人回复
武汉纺织大学招收化学化工类和材料类研究生调剂生若干名
已经有6人回复
河南某一本高校招收材料,化工,化学调剂生
已经有0人回复
» 本主题相关商家推荐: (我也要在这里推广)
» 本主题相关价值贴推荐,对您同样有帮助:
小角XRD对介孔TiO2 的表征
已经有1人回复
消除催化零回复,感谢虫友来交流(十六)
已经有9人回复
消除催化零回复,感谢虫友来交流(十四)
已经有7人回复
消除催化零回复,感谢虫友来交流(七)
已经有16人回复
关于氮吸附分析数据部分说明
已经有10人回复
关于介孔材料的氮吸附-脱附问题
已经有7人回复
催化版上2008-04-25前 沸石分子筛,ZSM-系、SAPO-系 共466个话题集锦
已经有110人回复

thegreenworld
主管区长
![]()
![]()
![]()
![]()
- 应助: 0 (幼儿园)
- 金币: 3452.7
- 散金: 1
- 红花: 1
- 帖子: 355
- 在线: 652.4小时
- 虫号: 488352
- 注册: 2007-12-29
- 专业: 无机纳米化学
2楼2016-07-04 19:46:31
last瑠可
实习版主
![]()
![]()
![]()
![]()
- 应助: 0 (幼儿园)
- 金币: 506.2
- 散金: 67
- 红花: 5
- 帖子: 285
- 在线: 70.5小时
- 虫号: 1740248
- 注册: 2012-04-06
- 性别: MM
- 专业: 催化化学

3楼2016-07-04 20:27:30
thegreenworld
超级版主
![]()
![]()
![]()
![]()
- 应助: 0 (幼儿园)
- 金币: 3452.7
- 散金: 1
- 红花: 1
- 帖子: 355
- 在线: 652.4小时
- 虫号: 488352
- 注册: 2007-12-29
- 专业: 无机纳米化学
4楼2016-07-04 20:58:58
last瑠可
实习版主
![]()
![]()
![]()
![]()
- 应助: 0 (幼儿园)
- 金币: 506.2
- 散金: 67
- 红花: 5
- 帖子: 285
- 在线: 70.5小时
- 虫号: 1740248
- 注册: 2012-04-06
- 性别: MM
- 专业: 催化化学

5楼2016-07-04 22:43:19
6楼2016-07-05 07:54:38
7楼2016-07-05 19:50:45
last瑠可
超级版主
![]()
![]()
![]()
![]()
- 应助: 0 (幼儿园)
- 金币: 506.2
- 散金: 67
- 红花: 5
- 帖子: 285
- 在线: 70.5小时
- 虫号: 1740248
- 注册: 2012-04-06
- 性别: MM
- 专业: 催化化学

8楼2016-07-05 21:19:44
chemhehe
主管区长
![]()
![]()
![]()
![]()
- C-EPI: 1
- 应助: 22 (小学生)
- 金币: 5635.1
- 散金: 58
- 红花: 14
- 帖子: 1596
- 在线: 1497.7小时
- 虫号: 344945
- 注册: 2007-04-14
- 专业: 无机合成和制备化学

9楼2016-07-06 12:29:06
10楼2016-07-06 12:39:10














回复此楼
