| ²é¿´: 574 | »Ø¸´: 0 | ||
weiyisuгæ (ÕýʽдÊÖ)
|
[ÇóÖú]
µÈÌå»ýÈÈÈÝÓë°®Òò˹̹·½³Ì
|
|
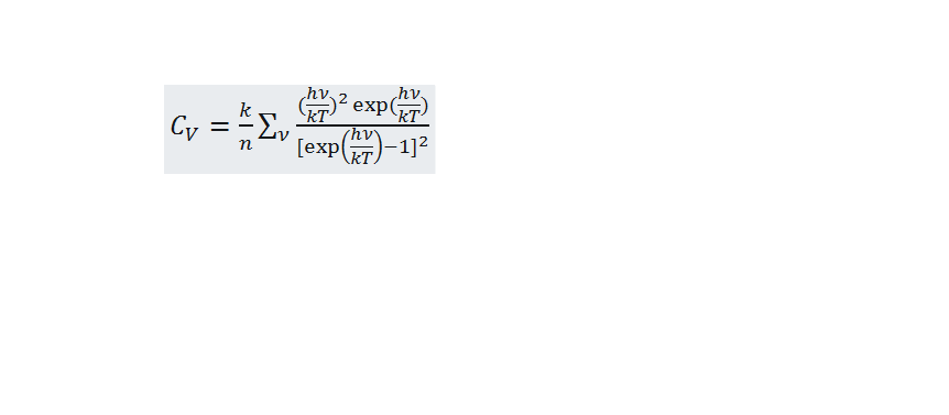
Çë½Ì¸÷λ´óÏÀ£º µÈÌå»ýÈÈÈݵļÆËã·½·¨ÊÇÈçÏ·½³ÌÂð£¿ÎÄÏ×˵½ÐEinstein's formula£¬²»ÖªÕâ¸öÊÇ·ñÕýÈ·¡£ Èç¹ûÕýÈ·£¬ÆäÖеÄnºÍƵÂÊvÈçºÎµÃµ½ÄØ£¿ Cv.png |
» ²ÂÄãϲ»¶
ÇóÖú
ÒѾÓÐ1È˻ظ´
0703»¯Ñ§26¿¼Ñе÷¼Á£¬Ò»Ö¾Ô¸Äϲý´óѧ
ÒѾÓÐ3È˻ظ´
ÎÞ»ú»¯Ñ§ÂÛÎÄÈóÉ«/·ÒëÔõôÊÕ·Ñ?
ÒѾÓÐ133È˻ظ´
ÓÐûÓл¯Ñ§¡¢²ÄÁÏרҵµÄͬѧÐèÒªµ÷¼Á ¿¼ÂÇÌì½ò¸ßЧµÄ¿ÉÒÔÓʼþ»òÕß˽ÐÅ
ÒѾÓÐ1È˻ظ´
26Ä격ʿÕÐÉú
ÒѾÓÐ16È˻ظ´
½Î÷Àí¹¤´óѧ¹¦Äܾ§Ì¬²ÄÁÏ·½ÏòÁõËì¾ü¿ÎÌâ×éÕÐÊÕ2026ÄêÇï¼¾Èëѧ²©Ê¿Ñо¿Éú
ÒѾÓÐ11È˻ظ´
ÄþÏÄ´óѧÍÅ´ØÐ²ÄÁÏÍŶÓÕÐÊÕ²ÄÁÏ/»¯Ñ§/»¯¹¤×¨Òµ²©Ê¿Éú
ÒѾÓÐ0È˻ظ´
MIL-101Óе¥¾§ÑùÆ·Âð
ÒѾÓÐ1È˻ظ´
ÒÑɾ³ý
ÒѾÓÐ3È˻ظ´
ÊÕµ÷¼ÁÑо¿Éú
ÒѾÓÐ2È˻ظ´
¡¾2026 ¿¼Ñе÷¼Á¡¿¹þ¶û±õ¹¤³Ì´óѧºË¿ÆÑ§Óë¼¼ÊõѧԺºË»¯¹¤Ïµ ÕÐÊÕµ÷¼ÁÉú
ÒѾÓÐ2È˻ظ´














»Ø¸´´ËÂ¥