| 查看: 1241 | 回复: 12 | |||
Ariel1996新虫 (小有名气)
|
[交流]
大神求助
|
||
|
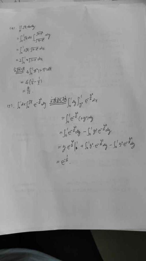
第(4)(5如何)如何做 发自小木虫Android客户端 |
» 猜你喜欢
085410 273分调剂
已经有3人回复
291分调剂
已经有5人回复
计算机22408 281分,求调剂
已经有3人回复
305求调剂
已经有5人回复
调剂
已经有3人回复
316求调剂
已经有4人回复
304求调剂(085602,过四级,一志愿985)
已经有27人回复
270求调剂
已经有3人回复
312求调剂
已经有4人回复
272分材料子求调剂
已经有40人回复
jhysxx
新虫 (正式写手)
- 应助: 14 (小学生)
- 金币: 2117.9
- 红花: 2
- 帖子: 326
- 在线: 75小时
- 虫号: 247149
- 注册: 2006-05-01
- 性别: MM
- 专业: 信息安全
★ ★ ★ ★ ★ ★
小木虫: 金币+0.5, 给个红包,谢谢回帖
Ariel1996(Edstrayer代发): 金币+5 2016-07-04 08:18:31
小木虫: 金币+0.5, 给个红包,谢谢回帖
Ariel1996(Edstrayer代发): 金币+5 2016-07-04 08:18:31
» 本帖已获得的红花(最新10朵)
4楼2016-06-30 16:46:28
2楼2016-06-29 09:56:29
peterflyer
木虫之王 (文学泰斗)
peterflyer
- 数学EPI: 10
- 应助: 20282 (院士)
- 金币: 146242
- 红花: 1374
- 帖子: 93091
- 在线: 7694.3小时
- 虫号: 1482829
- 注册: 2011-11-08
- 性别: GG
- 专业: 功能陶瓷
3楼2016-06-29 12:33:36
Ariel1996
新虫 (小有名气)
- 应助: 0 (幼儿园)
- 金币: 1038.9
- 散金: 112
- 红花: 1
- 帖子: 123
- 在线: 24.2小时
- 虫号: 4238530
- 注册: 2015-11-22
- 专业: 电化学分析
5楼2016-07-03 17:16:32
Ariel1996
新虫 (小有名气)
- 应助: 0 (幼儿园)
- 金币: 1038.9
- 散金: 112
- 红花: 1
- 帖子: 123
- 在线: 24.2小时
- 虫号: 4238530
- 注册: 2015-11-22
- 专业: 电化学分析
6楼2016-07-03 23:15:29
jhysxx
新虫 (正式写手)
- 应助: 14 (小学生)
- 金币: 2117.9
- 红花: 2
- 帖子: 326
- 在线: 75小时
- 虫号: 247149
- 注册: 2006-05-01
- 性别: MM
- 专业: 信息安全
7楼2016-07-04 06:43:01
Ariel1996
新虫 (小有名气)
- 应助: 0 (幼儿园)
- 金币: 1038.9
- 散金: 112
- 红花: 1
- 帖子: 123
- 在线: 24.2小时
- 虫号: 4238530
- 注册: 2015-11-22
- 专业: 电化学分析
8楼2016-07-04 12:48:31
jhysxx
新虫 (正式写手)
- 应助: 14 (小学生)
- 金币: 2117.9
- 红花: 2
- 帖子: 326
- 在线: 75小时
- 虫号: 247149
- 注册: 2006-05-01
- 性别: MM
- 专业: 信息安全
9楼2016-07-04 17:45:40
jhysxx
新虫 (正式写手)
- 应助: 14 (小学生)
- 金币: 2117.9
- 红花: 2
- 帖子: 326
- 在线: 75小时
- 虫号: 247149
- 注册: 2006-05-01
- 性别: MM
- 专业: 信息安全
10楼2016-07-04 17:46:16













回复此楼
Ariel1996
