| 查看: 815 | 回复: 22 | |||
[交流]
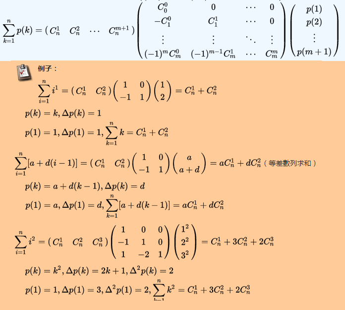
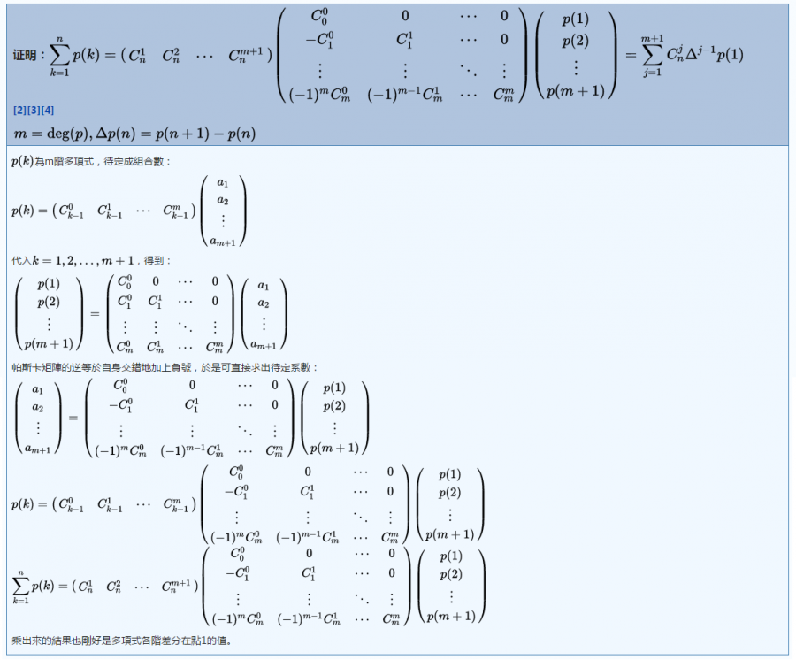
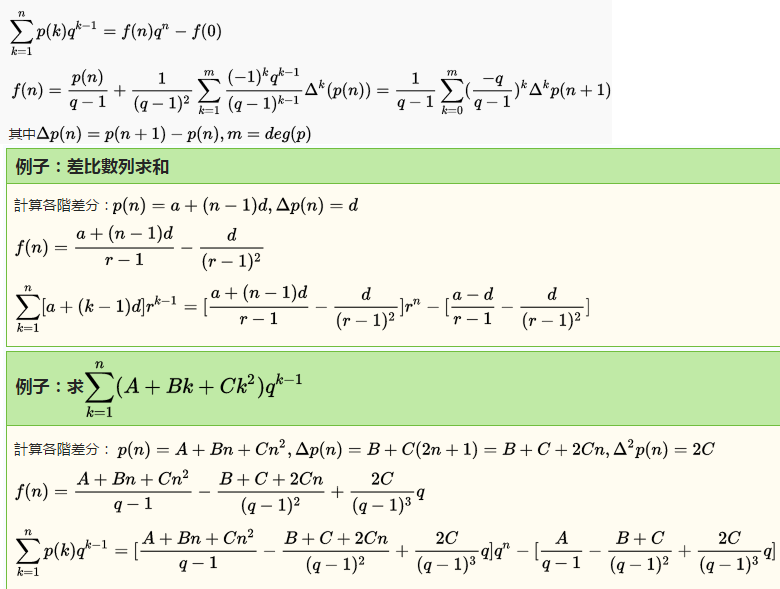
方幂和及其推广和式
|
|||
|
《数学学习与研究》2016年07期《方幂和及其推广和式》 [ Last edited by fungarwai on 2016-6-22 at 11:25 ] |
» 猜你喜欢
青椒八年已不青,大家都被折磨成啥样了?
已经有9人回复
免疫学博士有名额,速联系
已经有4人回复
交叉科学部支持青年基金,对三无青椒是个机会吗?
已经有5人回复
国家基金申请书模板内插入图片不可调整大小?
已经有6人回复
招博士
已经有6人回复
限项规定
已经有8人回复
国家级人才课题组招收2026年入学博士
已经有5人回复
Fe3O4@SiO2合成
已经有6人回复
青年基金C终止
已经有4人回复
26申博求博导推荐-遥感图像处理方向
已经有4人回复
» 抢金币啦!回帖就可以得到:
邀您投稿 Polymers 特刊
+1/477
海南大学海洋清洁能源创新团队(光电催化方向)招收2026年博士研究生(第二批)
+5/170
诚聘 有机光电材料计算方向 博士后、科研助理、访问学生
+1/93
美国R1大学--德克萨斯大学埃尔帕索分校(UTEP) 土木、环境与建筑工程系 博士招生
+1/79
华南师范大学胡勇军教授课题组招收2026年博士研究生
+1/76
非粮生物质能技术全国重点实验室合成生物学创新团队全球招聘博士/博士后
+1/76
南京林业大学特聘教授招聘博后和博士研究生
+1/75
时隔多年再次回到小木虫,有一番感慨
+1/65
意大利米兰理工大学急聘CSC公派留学博士生(物理或无机材料科学方向)
+2/52
教育部重点实验室和清华大学某国家重点实验室,联合培养硕生、博生,并长期招博士后
+1/33
教育部重点实验室和清华大学某国家重点实验室,联合培养硕生、博生,并长期招博士后
+1/33
中国石油大学(北京)2026年博士招生2名:化学、材料、石油工程:油田化学
+1/30
东北大学-招收2026年硕士研究生2-3名(金属材料3D打印方向)
+5/20
诚征女友,非诚勿扰
+3/20
山东大学集成电路学院王凌云研究员招收2026年硕士生及联合培养硕士生
+1/5
生信(包括AI)博后招聘(3名):美国德州理工大学健康科学中心
+1/5
福建师范大学柔性电子学院 院士团队招2026级博士 光电器件、发光传感忆阻器
+1/3
福建师范大学柔性电子学院 院士团队招2026级博士 光电器件、发光传感忆阻器
+1/3
澳科大诚招2026年秋季全奖博士研究生(药剂学/生物材料方向)
+1/3
浙江大学 “分子智造”课题组 诚聘 博士后及科研助理
+1/1
22楼2016-06-12 07:38:19
23楼2016-06-18 12:45:10
简单回复
假大空2楼
2016-06-11 08:34
回复
fungarwai(金币+1): 谢谢参与

2016-06-11 08:36
回复
fungarwai(金币+1): 谢谢参与
2016-06-11 08:42
回复
fungarwai(金币+1): 谢谢参与
2016-06-11 08:49
回复
fungarwai(金币+1): 谢谢参与
祝福
nono20096楼
2016-06-11 08:50
回复
fungarwai(金币+1): 谢谢参与
2016-06-11 08:52
回复
fungarwai(金币+1): 谢谢参与
祝福
2016-06-11 08:53
回复
fungarwai(金币+1): 谢谢参与
gorgan9楼
2016-06-11 08:59
回复
fungarwai(金币+1): 谢谢参与
祝福 [ 发自手机版 http://muchong.com/3g ]
skyish10楼
2016-06-11 09:14
回复
fungarwai(金币+1): 谢谢参与
一 发自小木虫IOS客户端
lhanglhang11楼
2016-06-11 09:16
回复
fungarwai(金币+1): 谢谢参与

shenrenren12楼
2016-06-11 09:24
回复
fungarwai(金币+1): 谢谢参与
tan91413楼
2016-06-11 09:38
回复
fungarwai(金币+1): 谢谢参与
hongyingwu14楼
2016-06-11 09:44
回复
fungarwai(金币+1): 谢谢参与
落花剑雨15楼
2016-06-11 10:10
回复
fungarwai(金币+1): 谢谢参与
tzynew16楼
2016-06-11 10:14
回复
fungarwai(金币+1): 谢谢参与
fdzjm17楼
2016-06-11 10:40
回复
fungarwai(金币+1): 谢谢参与
laozhu557218楼
2016-06-11 10:49
回复
fungarwai(金币+1): 谢谢参与
xinbanshu19楼
2016-06-11 10:58
回复
fungarwai(金币+1): 谢谢参与
xhmaohan20楼
2016-06-12 01:23
回复
fungarwai(金币+1): 谢谢参与
bsese21楼
2016-06-12 04:56
回复
fungarwai(金币+1): 谢谢参与
? 发自小木虫Android客户端













回复此楼