版块导航
正在加载中...
客户端APP下载
论文辅导
申博辅导
登录
注册
帖子
帖子
用户
本版
应《网络安全法》要求,自2017年10月1日起,未进行实名认证将不得使用互联网跟帖服务。为保障您的帐号能够正常使用,请尽快对帐号进行手机号验证,感谢您的理解与支持!
24小时热门版块排行榜
>
论坛更新日志
(4089)
>
文献求助
(514)
>
虫友互识
(383)
>
导师招生
(334)
>
硕博家园
(131)
>
考博
(105)
>
论文投稿
(97)
>
休闲灌水
(84)
>
教师之家
(70)
>
博后之家
(69)
>
论文道贺祈福
(64)
>
绿色求助(高悬赏)
(61)
>
考研
(57)
>
SciFinder/Reaxys
(55)
>
基金申请
(49)
>
找工作
(45)
小木虫论坛-学术科研互动平台
»
专业学科区
»
数学
»
基础数学
»
三次方程的求法
6
1/1
返回列表
查看: 931 | 回复: 5
只看楼主
@他人
存档
新回复提醒
(忽略)
收藏
在APP中查看
zxl阿玲
金虫
(正式写手)
各位大佬求带
应助: 0
(幼儿园)
金币: 1605.8
散金: 20
红花: 1
帖子: 919
在线: 20.5小时
虫号: 4221966
注册: 2015-11-16
性别:
MM
专业: 应用有机化学
[
求助
]
三次方程的求法
已有3人参与
Z?+2k+zk=0求解
发自小木虫Android客户端
回复此楼
» 猜你喜欢
面上项目申报
已经有3人回复
有时候真觉得大城市人没有县城人甚至个体户幸福
已经有5人回复
酰胺脱乙酰基
已经有9人回复
CSC & MSCA 博洛尼亚大学能源材料课题组博士/博士后招生|MSCA经费充足、排名优
已经有5人回复
有70后还继续奋斗在职场上的吗?
已经有6人回复
博士延得我,科研能力直往上蹿
已经有7人回复
退学或坚持读
已经有27人回复
面上基金申报没有其他的参与者成吗
已经有5人回复
遇见不省心的家人很难过
已经有22人回复
» 本主题相关价值贴推荐,对您同样有帮助:
matlab求解非线性方程组的方法
已经有6人回复
[线性代数与概率统计].马丽杰.明杰秀.扫描版
已经有95人回复
浙江大学电路原理及网络理论(内部课件)
已经有144人回复
使用Multiwfn分析Gaussian09的极化率、第一超极化率的输出
已经有12人回复
三元一次方程求根公式。正余弦函数自变量为复数
已经有29人回复
关于:origin 三次样条拟合 的一些疑问?
已经有8人回复
求对全面实验设计的分析过程与方法。
已经有3人回复
晶体测量学简明教程 王文魁,彭志忠编
已经有79人回复
从媳妇到婆婆(5-完结篇)-研究生应掌握的五大数据分析技能
已经有27人回复
幼小的心理很难接受审稿人有点武断的意见,求建议
已经有17人回复
青基,三个建议资助,为什么挂了?求各位给点意见!
已经有13人回复
【求助】如何用Galois群论推导出一元四次方程的求根公式?
已经有0人回复
【分享】10年数2大纲!!
已经有13人回复
【分享】2009年注册环保工程师基础考试大纲
已经有11人回复
【书籍】《常用算法程序集》
已经有44人回复
详见QQ1152005357
1楼
2016-05-27 09:48:22
已阅
回复此楼
关注TA
给TA发消息
送TA红花
TA的回帖
i维数
木虫
(正式写手)
数学EPI: 4
应助: 74
(初中生)
金币: 3148.6
红花: 10
帖子: 691
在线: 941.9小时
虫号: 3691318
注册: 2015-02-17
性别: GG
专业: 偏微分方程
【答案】应助回帖
感谢参与,应助指数 +1
请楼主写清楚一点,这样别人才好帮你解答不是么。对容易的题目,一般是先猜出一个根,然后再因式分解。猜不出来的话就只能用三次方程的求根公式了。这个网上的资料很多,可自行搜索学习。
赞
一下
回复此楼
2楼
2016-05-27 12:25:34
已阅
回复此楼
关注TA
给TA发消息
送TA红花
TA的回帖
gold2007
捐助贵宾
(正式写手)
应助: 6
(幼儿园)
金币: 6394.3
散金: 679
红花: 18
帖子: 824
在线: 200.6小时
虫号: 2348409
注册: 2013-03-12
专业: 固体力学
求根公式一搜就有
发自小木虫IOS客户端
赞
一下
回复此楼
3楼
2016-05-27 16:42:03
已阅
回复此楼
关注TA
给TA发消息
送TA红花
TA的回帖
peterflyer
木虫之王
(文学泰斗)
peterflyer
数学EPI: 10
应助: 20282
(院士)
金币: 146009
红花: 1374
帖子: 93091
在线: 7694.3小时
虫号: 1482829
注册: 2011-11-08
性别: GG
专业: 功能陶瓷
【答案】应助回帖
感谢参与,应助指数 +1
若方程是形如z^3+2*k+k*z=0的形式,则可套用现成的公式求解出根。
赞
一下
(1人)
回复此楼
4楼
2016-05-28 15:45:13
已阅
回复此楼
关注TA
给TA发消息
送TA红花
TA的回帖
destro
新虫
(初入文坛)
应助: 1
(幼儿园)
金币: 8.5
帖子: 3
在线: 2.1小时
虫号: 4690362
注册: 2016-05-14
专业: 计算数学与科学工程计算
【答案】应助回帖
感谢参与,应助指数 +1
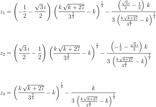
你是指z^3+2*k+z*k=0吗?
这个方程随便放到一个软件里都可以解出来的:
赞
一下
(2人)
回复此楼
5楼
2016-05-28 18:26:11
已阅
回复此楼
关注TA
给TA发消息
送TA红花
TA的回帖
vidh
新虫
(初入文坛)
应助: 1
(幼儿园)
金币: 182.4
散金: 126
红花: 4
帖子: 37
在线: 24.9小时
虫号: 1878682
注册: 2012-07-04
性别: GG
专业: 应用数学方法
MATLAB solve函数。。
发自小木虫IOS客户端
赞
一下
回复此楼
6楼
2016-05-30 15:09:59
已阅
回复此楼
关注TA
给TA发消息
送TA红花
TA的回帖
相关版块跳转
数理科学综合
机械
物理
数学
农林
食品
地学
能源
信息科学
土木建筑
航空航天
转基因
我要订阅楼主
zxl阿玲
的主题更新
6
1/1
返回列表
如果回帖内容含有宣传信息,请如实选中。否则帐号将被全论坛禁言
普通表情
龙
兔
虎
猫
百度网盘
|
360云盘
|
千易网盘
|
华为网盘
在新窗口页面中打开自己喜欢的网盘网站,将文件上传后,然后将下载链接复制到帖子内容中就可以了。
信息提示
关闭
请填处理意见
关闭
确定