| 查看: 804 | 回复: 4 | ||
i维数木虫 (正式写手)
|
[求助]
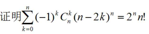
组合恒等式求证明
|
|
|
|
||
hank612至尊木虫 (著名写手)
|
|
|
![]() |
||
|
2楼2016-05-19 06:51:33
|
|
|
gold2007捐助贵宾 (正式写手)
|
||
|
3楼2016-05-19 07:17:47
|
|
|
hank612至尊木虫 (著名写手)
|
||
![]() |
||
|
4楼2016-05-19 07:23:40
|
|
|
i维数木虫 (正式写手)
|
||
|
5楼2016-05-19 17:54:01
|
|













回复此楼

10