24小时热门版块排行榜    

查看: 2300  |  回复: 3

hzqzy

木虫 (小有名气)

[求助] 求助水相RAFT聚合,RAFT试剂溶解性问题 已有1人参与

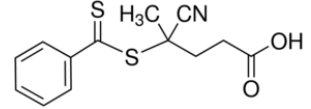
最近准备用RAFT聚合在水溶液中聚合丙烯酰胺和阳离子丙烯酰胺类单体,采用含有羧基的RAFT试剂:4-Cyano-4-(phenylcarbonothioylthio)pentanoic acid (CTP)和2-(Dodecylthiocarbonothioylthio)-2-methylpropionic acid (DDMAT)。查了一下比较相关的文献:

[1] Vasilieva, Y.A., et al., Direct controlled polymerization of a cationic methacrylamido monomer in aqueous media via the RAFT process. Macromolecules, 2004. 37(8): p. 2728-2737.
[2] Alidedeoglu, A.H., et al., Aqueous RAFT polymerization of 2‐aminoethyl methacrylate to produce well‐defined, primary amine functional homo‐and copolymers. Journal of Polymer Science Part A: Polymer Chemistry, 2009. 47(20): p. 5405-5415.
[3] Rodriguez‐Emmenegger, C., et al., Low temperature aqueous living/controlled (RAFT) polymerization of carboxybetaine methacrylamide up to high molecular weights. Macromolecular Rapid Communications, 2011. 32(13): p. 958-965.

三篇文献都提到为了防止RAFT试剂在聚合过程中水解或氨解,聚合要在pH=5的醋酸缓冲液中进行,文献用的RAFT试剂是CTP。
于是打算先重复一下文献,但是发现一个问题:RAFT试剂CTP和DDMAT在pH=5的醋酸缓冲液无法溶解!我的具体步骤是这样的:先用等摩尔的NaOH水溶液溶解RAFT试剂,此时RAFT试剂可溶,但是把RAFT试剂的溶液加入到pH=5的醋酸缓冲液里,RAFT试剂几乎完全析出。我试了30mM和3mM两个RAFT试剂浓度,都是一样的结果。请教各位大神,这到底是怎么回事?怎么才能溶解RAFT试剂呢?上面这几篇文献又是怎么做到的?

求助水相RAFT聚合,RAFT试剂溶解性问题
DDMAT.PNG


求助水相RAFT聚合,RAFT试剂溶解性问题-1
CTP.PNG
回复此楼

» 猜你喜欢

» 本主题相关商家推荐: (我也要在这里推广)

已阅   回复此楼   关注TA 给TA发消息 送TA红花 TA的回帖

hzqzy

木虫 (小有名气)

没人有相关经验吗?
2楼2016-05-18 13:46:25
已阅   回复此楼   关注TA 给TA发消息 送TA红花 TA的回帖

ljh151233

银虫 (小有名气)

【答案】应助回帖

前辈,最后问题怎么解决的呢?  我现在和你一样碰到了这个问题。。求解啊
一切美好只是昨日沉醉,淡淡苦涩才是今天滋味。
3楼2017-10-17 00:06:24
已阅   回复此楼   关注TA 给TA发消息 送TA红花 TA的回帖

狮子喵

银虫 (小有名气)

引用回帖:
3楼: Originally posted by ljh151233 at 2017-10-17 00:06:24
前辈,最后问题怎么解决的呢?  我现在和你一样碰到了这个问题。。求解啊

请问您还在做DDMAT吗?您是按照哪篇文献合的呢,为什么我合的一直不纯,而且产率极低,能向您请教一下吗?谢谢
4楼2018-11-19 18:21:36
已阅   回复此楼   关注TA 给TA发消息 送TA红花 TA的回帖
相关版块跳转 我要订阅楼主 hzqzy 的主题更新
最具人气热帖推荐 [查看全部] 作者 回/看 最后发表
[考研] 287求调剂 +4 晨昏线与星海 2026-03-19 5/250 2026-03-20 16:42 by Iveryant
[考研] 295复试调剂 +7 简木ChuFront 2026-03-19 7/350 2026-03-20 14:11 by 星空星月
[考研] 一志愿中南化学337求调剂 +4 niko- 2026-03-19 5/250 2026-03-20 13:49 by 促天成
[考研] 317求调剂 +4 申子申申 2026-03-19 8/400 2026-03-20 11:20 by 申子申申
[考研] 一志愿 南京航空航天大学大学 ,080500材料科学与工程学硕 +4 @taotao 2026-03-20 4/200 2026-03-20 10:37 by EBSD
[考研] 材料学硕318求调剂 +5 February_Feb 2026-03-19 5/250 2026-03-19 23:51 by 23Postgrad
[考研] 320求调剂0856 +3 不想起名字112 2026-03-19 3/150 2026-03-19 22:53 by 学员8dgXkO
[考研] 材料考研调剂 +3 xwt。 2026-03-19 3/150 2026-03-19 11:22 by w沐阳w
[考研] 一志愿985,本科211,0817化学工程与技术319求调剂 +10 Liwangman 2026-03-15 10/500 2026-03-19 10:25 by 无际的草原
[考研] 311求调剂 +4 冬十三 2026-03-18 4/200 2026-03-18 21:47 by 尽舜尧1
[考研] 304求调剂 +12 小熊joy 2026-03-14 13/650 2026-03-18 12:34 by Linda Hu
[考研] 303求调剂 +4 睿08 2026-03-17 6/300 2026-03-18 11:01 by Iveryant
[考研] 考研求调剂 +3 橘颂. 2026-03-17 4/200 2026-03-17 21:43 by 有只狸奴
[考研] 308求调剂 +4 是Lupa啊 2026-03-16 4/200 2026-03-17 17:12 by ruiyingmiao
[考研] 一志愿南京大学,080500材料科学与工程,调剂 +4 Jy? 2026-03-16 4/200 2026-03-17 11:02 by gaoqiong
[考研] 11408 一志愿西电,277分求调剂 +3 zhouzhen654 2026-03-16 3/150 2026-03-17 07:03 by laoshidan
[考研] 机械专硕325,寻找调剂院校 +3 y9999 2026-03-15 5/250 2026-03-16 19:58 by y9999
[考研] 0854控制工程 359求调剂 可跨专业 +3 626776879 2026-03-14 9/450 2026-03-16 17:42 by 626776879
[考研] 318求调剂 +3 Yanyali 2026-03-15 3/150 2026-03-16 16:41 by houyaoxu
[考研] 26考研一志愿中国石油大学(华东)305分求调剂 +3 嘉年新程 2026-03-15 3/150 2026-03-15 13:58 by 哈哈哈哈嘿嘿嘿
信息提示
请填处理意见