| 查看: 1350 | 回复: 7 | ||
h5u5n5t5e5r5捐助贵宾 (初入文坛)
|
[求助]
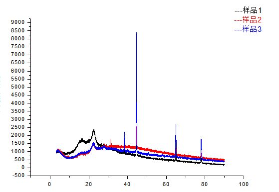
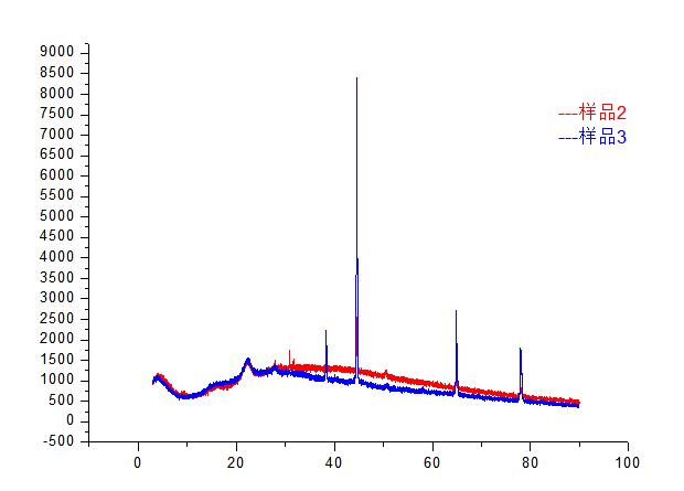
处理前后的三个样品的XRD,新手不知如何表述,还望高手指教
|
|
使用金刚石单晶片进行的XRD,希望能有高手能够帮助描述反应前后的具体变化。 金刚石样品1,2的,1为初始类型,2经过一定处理 金刚石样品1,3,1为初始类型,3经过完全处理.png 金刚石样品2,3.png,2为较低程度处理,3为较高程度处理 金刚石样品1,2,3.同时png |
» 猜你喜欢
中南大学易小艺课题组诚招2026申请-考核制博士生
已经有0人回复
海南师范大学招收化学博士(光电功能材料课题组招收博士研究生)
已经有10人回复
无机化学论文润色/翻译怎么收费?
已经有140人回复
求助几个团簇的cif
已经有0人回复
急求该反应的详细机理
已经有5人回复
【Ei | Scopus 双检索】2026年智能交通与未来出行国际会议(CSTFM 2026)
已经有0人回复
【EI|Scopus 双检索】2026年第六届机器人与人工智能国际会议(JCRAI 2026)
已经有0人回复
zotero的advanced material模板没有更新,有人有新版的cls文件吗
已经有2人回复
【高校联合举办】2026年第五届服务机器人国际会议(ICoSR 2026)
已经有0人回复
Q89285139
铜虫 (初入文坛)
- 应助: 7 (幼儿园)
- 金币: 214.2
- 帖子: 34
- 在线: 18.2小时
- 虫号: 4389792
- 注册: 2016-01-31
- 性别: GG
- 专业: 半导体材料
2楼2016-05-14 14:31:00
h5u5n5t5e5r5
捐助贵宾 (初入文坛)
- 应助: 0 (幼儿园)
- 金币: 26
- 帖子: 14
- 在线: 3.9小时
- 虫号: 4093147
- 注册: 2015-09-22
- 专业: 凝聚态物性I:结构、力学和
3楼2016-05-14 23:23:42
ljl520
木虫 (正式写手)
鸡腿儿
- 应助: 5 (幼儿园)
- 金币: 5867.5
- 散金: 300
- 红花: 4
- 帖子: 792
- 在线: 169.7小时
- 虫号: 966701
- 注册: 2010-03-10
- 性别: GG
- 专业: 人工晶体

4楼2016-05-15 07:14:48
h5u5n5t5e5r5
捐助贵宾 (初入文坛)
- 应助: 0 (幼儿园)
- 金币: 26
- 帖子: 14
- 在线: 3.9小时
- 虫号: 4093147
- 注册: 2015-09-22
- 专业: 凝聚态物性I:结构、力学和
5楼2016-05-16 05:45:16
h5u5n5t5e5r5
捐助贵宾 (初入文坛)
- 应助: 0 (幼儿园)
- 金币: 26
- 帖子: 14
- 在线: 3.9小时
- 虫号: 4093147
- 注册: 2015-09-22
- 专业: 凝聚态物性I:结构、力学和
6楼2016-05-16 08:34:02
h5u5n5t5e5r5
捐助贵宾 (初入文坛)
- 应助: 0 (幼儿园)
- 金币: 26
- 帖子: 14
- 在线: 3.9小时
- 虫号: 4093147
- 注册: 2015-09-22
- 专业: 凝聚态物性I:结构、力学和
7楼2016-05-18 09:21:07
ljl520
木虫 (正式写手)
鸡腿儿
- 应助: 5 (幼儿园)
- 金币: 5867.5
- 散金: 300
- 红花: 4
- 帖子: 792
- 在线: 169.7小时
- 虫号: 966701
- 注册: 2010-03-10
- 性别: GG
- 专业: 人工晶体

8楼2016-05-18 13:23:23













回复此楼
h5u5n5t5e5r5