| 查看: 6941 | 回复: 8 | |||
[求助]
拟合吸附动力学曲线和吸附等温线 已有2人参与
|
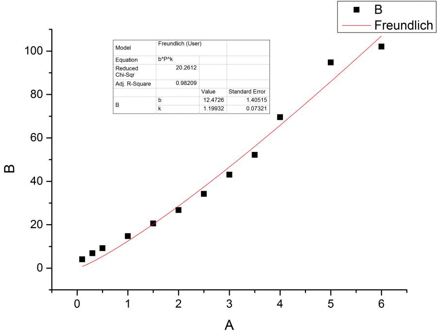
| 我用origin拟合吸附等温线,试了里面的Langmuir和Freundlich方程,得到的R2都不到0.9,难道这两个方程都不适用吗?另外如何用origin拟合吸附动力学曲线呢?是不是需要自己写函数啊?外导跟我说excel就可以拟合,但是不知道怎么拟合,请教各位大神。 |
» 猜你喜欢
请问还有没有用Latex写文章的小伙伴们?
已经有0人回复
光学工程学硕调剂信息
已经有32人回复
物理学I论文润色/翻译怎么收费?
已经有156人回复
欢迎加入课题组
已经有0人回复
散金币,求好运,祝面上顺利!
已经有78人回复
华东师范大学芯片设计徐珑真实水平咋样
已经有1人回复
调剂
已经有0人回复
【新加坡】纳米电子器件项目组有“联合培养博士生”名额
已经有0人回复
中德博士后2026项目5月30日截止- 国内博士后入站、德国两年全职
已经有0人回复
面向全球申请人的中德博士后2026项目5月30日截止- 国内博后入站德国两年全职
已经有0人回复
【新加坡】纳米电子器件项目组有“联合培养博士生”名额
已经有2人回复
» 本主题相关价值贴推荐,对您同样有帮助:
消除催化零回复,感谢虫友来交流(二十四)
已经有7人回复
吸附动力学相关问题
已经有8人回复
langmuir等温吸附中的常数B
已经有0人回复
消除催化零回复,感谢虫友来交流(三)
已经有13人回复
Multiwfn支持的弱相互作用的分析方法概览
已经有10人回复
注册化工工程师须知
已经有23人回复
吸附剂的吸附热力学和动力学实验中的R2 是如何计算
已经有6人回复
吸附动力学 热力学拟合曲线
已经有3人回复
关于吸附动力学和吸附热力学问题
已经有11人回复
吸附拟合
已经有3人回复
【资源】关于电池材料比表面的分析方法
已经有3人回复
【资源】关于粉体材料比表面的分析方法
已经有12人回复
【其他】中国电动汽车高能电池研发与市场现状
已经有9人回复
月只蓝
主管区长 (职业作家)
-

专家经验: +1059 - 计算强帖: 8
- 应助: 1712 (讲师)
- 贵宾: 8.888
- 金币: 68127.7
- 散金: 1938
- 红花: 443
- 沙发: 4
- 帖子: 4373
- 在线: 3291.4小时
- 虫号: 1122189
- 注册: 2010-10-14
- 专业: 宇宙学
- 管辖: 计算模拟区

2楼2016-05-13 23:01:33
3楼2016-05-14 00:27:56
月只蓝
主管区长 (职业作家)
-

专家经验: +1059 - 计算强帖: 8
- 应助: 1712 (讲师)
- 贵宾: 8.888
- 金币: 68127.7
- 散金: 1938
- 红花: 443
- 沙发: 4
- 帖子: 4373
- 在线: 3291.4小时
- 虫号: 1122189
- 注册: 2010-10-14
- 专业: 宇宙学
- 管辖: 计算模拟区

4楼2016-05-14 09:25:53
Ronny_chou
木虫 (正式写手)
- 应助: 43 (小学生)
- 金币: 3031.5
- 散金: 16
- 红花: 14
- 帖子: 485
- 在线: 313小时
- 虫号: 2537599
- 注册: 2013-07-08
- 专业: 分离过程
5楼2016-05-14 12:20:09
6楼2016-05-16 10:34:14
7楼2016-05-18 11:58:24
Ronny_chou
木虫 (正式写手)
- 应助: 43 (小学生)
- 金币: 3031.5
- 散金: 16
- 红花: 14
- 帖子: 485
- 在线: 313小时
- 虫号: 2537599
- 注册: 2013-07-08
- 专业: 分离过程
8楼2016-05-18 14:30:35
Ronny_chou
木虫 (正式写手)
- 应助: 43 (小学生)
- 金币: 3031.5
- 散金: 16
- 红花: 14
- 帖子: 485
- 在线: 313小时
- 虫号: 2537599
- 注册: 2013-07-08
- 专业: 分离过程
9楼2016-05-18 14:58:23













回复此楼