| ²é¿´: 818 | »Ø¸´: 4 | |
1363684657ÖÁ×ðľ³æ (Ö°Òµ×÷¼Ò)
|
[ÇóÖú]
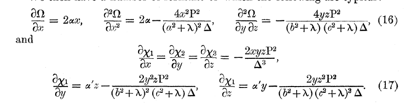
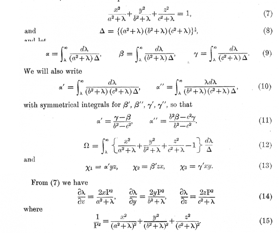
RT,ÇóÏÂÁи÷Æ«µ¼Êý ÒÑÓÐ1È˲ÎÓë
|
|
|
|
hank612ÖÁ×ðľ³æ (ÖøÃûдÊÖ)
|
|
![]() |
|
|
2Â¥2016-06-10 02:43:02
|
|
1363684657ÖÁ×ðľ³æ (Ö°Òµ×÷¼Ò)
|
|
|
3Â¥2016-06-10 09:43:58
|
|
zhijian_duanÌú¸Ëľ³æ (ÕýʽдÊÖ)
|
|
![]() |
|
|
4Â¥2016-06-11 10:29:33
|
|
1363684657ÖÁ×ðľ³æ (Ö°Òµ×÷¼Ò)
|
|
|
5Â¥2016-06-11 13:01:32
|
|













»Ø¸´´ËÂ¥
