| 查看: 1426 | 回复: 7 | |
[求助]
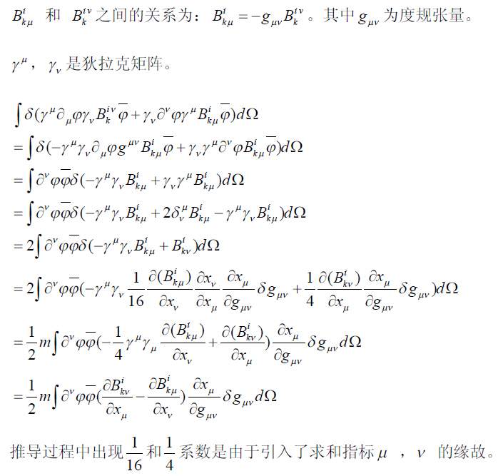
求助:这几步推导有错误吗
|
|
|
|
|
simonrac金虫 (小有名气)
|
|
|
2楼2016-05-09 22:27:03
|
|
|
3楼2016-05-10 10:11:23
|
|
simonrac金虫 (小有名气)
|
|
|
4楼2016-05-10 13:35:24
|
|
![]() |
|
|
5楼2016-05-11 07:52:29
|
|
![]() |
|
|
6楼2016-05-11 07:53:19
|
|
|
7楼2016-05-11 09:21:09
|
|
|
8楼2016-06-15 09:22:45
|
|













回复此楼



,我是求助者啊,对于提出的问题您怎么看?