| 查看: 1819 | 回复: 9 | ||||
beefly专家顾问 (职业作家)
地沟油冶炼专家
|
[交流]
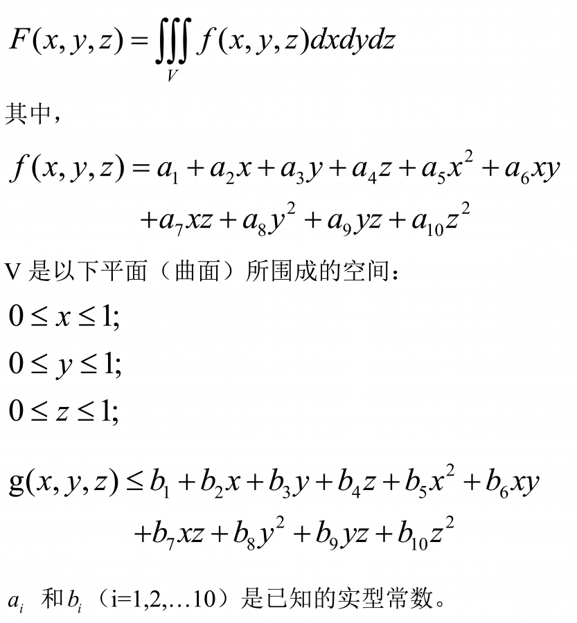
物理学中尚未解决的积分,数学家们有啥办法?已有6人参与
|
» 本主题相关价值贴推荐,对您同样有帮助:
【转载】一周国际要闻
已经有1人回复
宇宙的存在方式和世界的因果关系(第二部)
已经有1人回复

bluesine
铁杆木虫 (职业作家)
科苑小木虫
- 数学EPI: 5
- 应助: 132 (高中生)
- 贵宾: 1.991
- 金币: 9496.3
- 散金: 89
- 红花: 19
- 帖子: 3534
- 在线: 363.8小时
- 虫号: 869544
- 注册: 2009-10-12
- 性别: GG
- 专业: 数学物理

2楼2016-04-28 16:27:05
enlearner
木虫 (小有名气)
- 应助: 1 (幼儿园)
- 金币: 1216.9
- 红花: 2
- 帖子: 143
- 在线: 41.1小时
- 虫号: 1770121
- 注册: 2012-04-21
- 性别: GG
- 专业: 应用数学方法
★
小木虫: 金币+0.5, 给个红包,谢谢回帖
小木虫: 金币+0.5, 给个红包,谢谢回帖
|
这个问题其实不难,我说一下框架吧。(其实这个问题在代数学中已经解决了关键的部分) 解决这个问题的关键是积分区域g(x,y,z)的规则表达,也就是代数学中的“二次型的标准化,具体做法如下: 第一步:通过坐标旋转把交叉项(也就是xy,xz,yz项)去掉,一次项不用管,自然累加就可以了。三维的旋转角有两个,计算有一定有难度,但一定能算出来,而且后面还要用---具体的内容百度或者查(二次型或二次曲面方面的数学书) 第二步:通过配方法将上一步所得方程化为标准型,结果不外乎三种:椭球(包含球),双曲型,抛物型。(如果是虚球,刚此积分无意义,不与考虑) 第三步:将前面0<x<1,0<y<1,0<z<1在旋转的情况下算出新的取值范围(只与旋转角有关) 第四步:将被积函数f(x,y,z)在旋转下用新的未知量替换,积分变量同步替换。 第五步:最标准的三重积分解法,本科二年级难度。 补充:算法二: 第一步:同上。 第二步:用球坐标变换或柱坐标变换将被积函数和积分区域同步变换。以下内容相信本科的任何一本高数书上都有。 看起来困难,其实最关键的就是第一步---二次型的标准化。两种算法都要用到这个。但这个内容已经是古典数学中较为成熟的东西,早已经解决。如果第一步解决,其余步骤只是顺其自然。 希望对你有所帮助。 |

3楼2016-04-29 10:41:05
wujm2000
木虫 (正式写手)
- 应助: 0 (幼儿园)
- 金币: 2043.7
- 帖子: 484
- 在线: 81.5小时
- 虫号: 2679699
- 注册: 2013-09-25
- 性别: GG
- 专业: 计算数学与科学工程计算

4楼2016-04-29 16:05:44
花痕逸韵
铁虫 (著名写手)
- 应助: 16 (小学生)
- 金币: 1037.2
- 散金: 2226
- 红花: 12
- 帖子: 2554
- 在线: 357.6小时
- 虫号: 3333239
- 注册: 2014-07-21
- 性别: GG
- 专业: 矿山岩体力学与岩层控制
★
小木虫: 金币+0.5, 给个红包,谢谢回帖
小木虫: 金币+0.5, 给个红包,谢谢回帖
|
题目有不严谨的地方,首先你不能确定它围成的空间是不是可以积分,这样就像要通解是不是有点过早。其次,如果参数的不确定,也可能导致积分不出来,比如混沌出现。 发自小木虫Android客户端 |
5楼2016-04-29 16:23:05
beefly
专家顾问 (职业作家)
地沟油冶炼专家
-

专家经验: +457 - 应助: 86 (初中生)
- 金币: 12723.4
- 散金: 27307
- 红花: 300
- 帖子: 4663
- 在线: 925.3小时
- 虫号: 408372
- 注册: 2007-06-21
- 性别: GG
- 专业: 理论和计算化学
- 管辖: 计算模拟

6楼2016-04-29 20:51:46
beefly
专家顾问 (职业作家)
地沟油冶炼专家
-

专家经验: +457 - 应助: 86 (初中生)
- 金币: 12723.4
- 散金: 27307
- 红花: 300
- 帖子: 4663
- 在线: 925.3小时
- 虫号: 408372
- 注册: 2007-06-21
- 性别: GG
- 专业: 理论和计算化学
- 管辖: 计算模拟

7楼2016-04-29 20:56:06
ghlsx
铁杆木虫 (著名写手)
- 应助: 23 (小学生)
- 金币: 5615.8
- 散金: 920
- 红花: 11
- 帖子: 2296
- 在线: 1178.6小时
- 虫号: 259932
- 注册: 2006-06-17
- 性别: GG
- 专业: 活体与复杂样品分析
8楼2016-04-29 22:33:09
凯旋在子夜
金虫 (职业作家)
- 应助: 1 (幼儿园)
- 金币: 1175.2
- 散金: 977
- 红花: 16
- 沙发: 3
- 帖子: 3586
- 在线: 153.9小时
- 虫号: 3392792
- 注册: 2014-09-01
- 性别: GG
- 专业: 会计与审计
9楼2016-04-29 22:58:34
10楼2016-04-29 23:25:24













回复此楼