| 查看: 325 | 回复: 1 | |
sxyzt铁杆木虫 (职业作家)
|
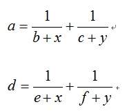
[求助]
求解二元方程组
|
|
|
|
Edstrayer版主 (著名写手)
方寸斗室小天地正气迷漫大世界
|
|
![]() |
|
|
2楼2016-04-25 02:34:25
|
|













回复此楼
