版块导航
正在加载中...
客户端APP下载
论文辅导
申博辅导
登录
注册
帖子
帖子
用户
本版
应《网络安全法》要求,自2017年10月1日起,未进行实名认证将不得使用互联网跟帖服务。为保障您的帐号能够正常使用,请尽快对帐号进行手机号验证,感谢您的理解与支持!
24小时热门版块排行榜
>
论坛更新日志
(716)
>
导师招生
(24)
>
硕博家园
(24)
>
休闲灌水
(24)
>
虫友互识
(17)
>
考研
(17)
>
论文投稿
(16)
>
公派出国
(15)
>
教师之家
(13)
>
考博
(13)
>
基金申请
(9)
>
博后之家
(6)
>
论文道贺祈福
(6)
>
文献求助
(5)
>
找工作
(4)
>
有机资源
(2)
小木虫论坛-学术科研互动平台
»
专业学科区
»
数学
»
基础数学
»
级数
11
1/1
返回列表
查看: 1160 | 回复: 10
只看楼主
@他人
存档
新回复提醒
(忽略)
收藏
在APP中查看
一秒阳光21
新虫
(小有名气)
应助: 0
(幼儿园)
金币: 1992.2
帖子: 107
在线: 63.2小时
虫号: 3007654
已领完
级数
领取红包
(小木虫手机app专属红包)
扫一扫,下载小木虫客户端
求级数乘积之后的系数
发自小木虫Android客户端
回复此楼
» 猜你喜欢
面上项目申报
已经有3人回复
有时候真觉得大城市人没有县城人甚至个体户幸福
已经有5人回复
酰胺脱乙酰基
已经有9人回复
CSC & MSCA 博洛尼亚大学能源材料课题组博士/博士后招生|MSCA经费充足、排名优
已经有5人回复
有70后还继续奋斗在职场上的吗?
已经有6人回复
博士延得我,科研能力直往上蹿
已经有7人回复
退学或坚持读
已经有27人回复
面上基金申报没有其他的参与者成吗
已经有5人回复
遇见不省心的家人很难过
已经有22人回复
高级回复
» 抢金币啦!回帖就可以得到:
查看全部散金贴
多功能 电子微生物生长分析仪 及 微生物快检技术开发服务
+
2
/140
诚招化工、有机、高分子等领域博士后及科研助理
+
2
/126
香港科技大学(广州)黄加强课题组智能电池方向博士招聘
+
1
/85
黄汉民团队联合淮北师范大学招聘师资博士后(年薪30-40万)
+
1
/83
华南师范大学(211)- 光电科学与工程学院 - 申请审核制(2026年4-5月份面试考核)
+
2
/78
坐标浙江宁波,诚征女友
+
1
/67
博后平台选择
+
1
/62
中国科学院深圳先进技术研究院——招聘博士后
+
2
/54
香港科技大学计算物理及流体力学课题组招收全奖博士后及博士生(2026年9月入学)
+
1
/43
新加坡 南洋理工大学- 智能光子/ 传感 PHD 全奖一名 2026 - 8 月入学
+
1
/22
苏州大学招收申请考核制博士生、博士后(2026)
+
1
/20
哈工大 张乃庆课题组招收博士快响计划(名额充足),通过后随时入学
+
1
/10
青岛大学招收少数民族【少干计划】生物与医药博士研究生
+
1
/7
澳科大招收2026年秋季入学生物材料方向全奖博士研究生(3月5日截止)
+
1
/5
【博士招生】哈工大(深圳)智能学部机器人与先进制造学院 陆文杰老师课题组
+
1
/4
广东省智能院与澳门大学/澳门理工联培博士招生
+
1
/4
华南理工大学宋波教授联合唐本忠院士招聘化学和材料方向博士后(长期有效)
+
1
/2
上海理工大学“新能源材料”专业-赵斌教授招收申请考核制博士生【能源催化方向】
+
1
/1
德国Karlsruhe Institute of Technology招收电化学储能及联合培养CSC博士等
+
1
/1
国家级海外高层次人才计划申报-博士后专项计划
+
1
/1
1楼
2016-04-20 18:20:10
已阅
回复此楼
关注TA
给TA发消息
送TA红花
TA的回帖
回帖支持 ( 显示支持度最高的前 50 名 )
i维数
木虫
(正式写手)
数学EPI: 4
应助: 74
(初中生)
金币: 3148.6
帖子: 691
在线: 941.9小时
虫号: 3691318
★
小木虫: 金币+0.5, 给个红包,谢谢回帖
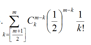
左边利用指数函数的taylor展开,再利用二项展开得到右边x^m的系数如图所示。至于怎么计算那个式子,还没想到方法
组合.png
赞
一下
(1人)
回复此楼
10楼
2016-04-20 19:41:22
已阅
回复此楼
关注TA
给TA发消息
送TA红花
TA的回帖
丝绸之路
木虫
(正式写手)
应助: 0
(幼儿园)
金币: 2004
帖子: 379
在线: 164.2小时
虫号: 3711821
★
小木虫: 金币+0.5, 给个红包,谢谢回帖
不好意思,考研没考高数
发自小木虫Android客户端
赞
一下
回复此楼
7楼
2016-04-20 18:20:44
已阅
回复此楼
关注TA
给TA发消息
送TA红花
TA的回帖
wsjch
新虫
(小有名气)
应助: 3
(幼儿园)
金币: 1681.6
帖子: 247
在线: 59.1小时
虫号: 2569605
★
小木虫: 金币+0.5, 给个红包,谢谢回帖
估计没人答,考完研都没学了,忘光了
发自小木虫Android客户端
赞
一下
回复此楼
9楼
2016-04-20 18:31:27
已阅
回复此楼
关注TA
给TA发消息
送TA红花
TA的回帖
ysnn
木虫
(小有名气)
应助: 0
(幼儿园)
金币: 2092
帖子: 102
在线: 24.6小时
虫号: 4535595
★
小木虫: 金币+0.5, 给个红包,谢谢回帖
像这种指数型母函数貌似有这种公式,(∑(n=0,∞)An x^n/n!)*(∑(n=0,∞)Bn x^n/n!)
=∑(n=0,∞)Dn x^n/n!
其中Dn=∑(0,∞)C(n,k)Ak*Bn-k
赞
一下
回复此楼
11楼
2016-04-21 14:28:42
已阅
回复此楼
关注TA
给TA发消息
送TA红花
TA的回帖
简单回复
丝绸之路
2楼
2016-04-20 18:20
回复
一秒阳光21(金币+1): 谢谢参与
已获得
1
个金币
发自小木虫Android客户端
战衣飘飘
3楼
2016-04-20 18:20
回复
一秒阳光21(金币+1): 谢谢参与
已获得
1
个金币
发自小木虫Android客户端
疯人痴人
4楼
2016-04-20 18:20
回复
一秒阳光21(金币+1): 谢谢参与
已获得
1
个金币
发自小木虫Android客户端
静雅文心
5楼
2016-04-20 18:20
回复
一秒阳光21(金币+1): 谢谢参与
已获得
1
个金币
发自小木虫Android客户端
superwang126
6楼
2016-04-20 18:20
回复
一秒阳光21(金币+1): 谢谢参与
已获得
1
个金币
发自小木虫IOS客户端
未来之门集智
8楼
2016-04-20 18:29
回复
发自小木虫IOS客户端
相关版块跳转
数理科学综合
机械
物理
数学
农林
食品
地学
能源
信息科学
土木建筑
航空航天
转基因
我要订阅楼主
一秒阳光21
的主题更新
11
1/1
返回列表
如果回帖内容含有宣传信息,请如实选中。否则帐号将被全论坛禁言
普通表情
龙
兔
虎
猫
高级回复
(可上传附件)
百度网盘
|
360云盘
|
千易网盘
|
华为网盘
在新窗口页面中打开自己喜欢的网盘网站,将文件上传后,然后将下载链接复制到帖子内容中就可以了。
信息提示
关闭
请填处理意见
关闭
确定