| 查看: 2697 | 回复: 11 | |||
| 【有奖交流】积极回复本帖子,参与交流,就有机会分得作者 溪风雨 的 20 个金币 | |||
溪风雨金虫 (正式写手)
|
[交流]
mechanism and machine theory收到审稿意见之后不知所措
|
||
|
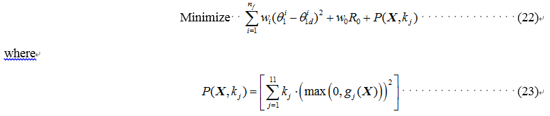
???????????????ó????????????????????Minor revision???ó???????????????????????????????à???ó????????????????????????????????????????°????? ?????????????????ó???????????é?????????????ù???ó?????????????????è????????????°????????????????????????????á?? ?í????±à?????????????ó???????????????í?????????????????????? ·??????????? Dear Dr. ###, Reviewers have now commented on your paper. You will see that they are advising that you revise your manuscript. If you are prepared to undertake the work required, I would be pleased to reconsider my decision. For your guidance, reviewers' comments are appended below. If you decide to revise the work, please submit a list of changes or a rebuttal against each point which is being raised when you submit the revised manuscript. To submit a revision, please go to https://ees.elsevier.com/mechmt/ and login as an Author. Please submit your revision by May 17, 2016 On your Main Menu page is a folder entitled "Submissions Needing Revision". You will find your submission record there. Mechanism and Machine Theory features the Interactive Plot Viewer, see: https://www.elsevier.com/interactiveplots. Interactive Plots provide easy access to the data behind plots. To include one with your article, please prepare a .csv file with your plot data and test it online at https://authortools.elsevier.com/interactiveplots/verification before submission as supplementary material. Yours sincerely, Paulo Flores, Ph.D Editor in Chief Mechanism and Machine Theory Note: While submitting the revised manuscript, please double check the author names provided in the submission so that authorship related changes are made in the revision stage. If your manuscript is accepted, any authorship change will involve approval from co-authors and respective editor handling the submission and this may cause a significant delay in publishing your manuscript. Reviewers' comments: Reviewer #2: The authors investigate on the design and optimization of cam-linkage systems for gait rehabilitation. The manuscript is interesting and relevant for the readership of Mechanism and Machine Theory journal, being well organized and written in a satisfactory manner. The method is based on the kinematics of motion, and considers as main parameters of design the cam variables and human gait parameters. The optimization is based on satisfying several constraints. The objective function minimizes size and optimizes operating parameters. The manuscript can be accepted for publication after the following issues have been fully addressed: 1. 2. 3. ... 13. ... |
» 猜你喜欢
拟解决的关键科学问题还要不要写
已经有8人回复
26申博
已经有3人回复
存款400万可以在学校里躺平吗
已经有22人回复
最失望的一年
已经有4人回复
国自然申请面上模板最新2026版出了吗?
已经有19人回复
请教限项目规定
已经有3人回复
基金委咋了?2026年的指南还没有出来?
已经有10人回复
基金申报
已经有6人回复
推荐一本书
已经有13人回复
疑惑?
已经有5人回复
ggamis
至尊木虫 (职业作家)
- 应助: 63 (初中生)
- 金币: 26928.2
- 红花: 28
- 帖子: 3724
- 在线: 1032.5小时
- 虫号: 1776355
- 注册: 2012-04-24
- 性别: GG
- 专业: 机械动力学
★ ★ ★ ★ ★ ★ ★ ★ ★ ★ ★
小木虫: 金币+0.5, 给个红包,谢谢回帖
溪风雨: 金币+10, 非常感谢~我会参照着想想再改改,感觉很难改。 2016-04-18 14:47:14
小木虫: 金币+0.5, 给个红包,谢谢回帖
溪风雨: 金币+10, 非常感谢~我会参照着想想再改改,感觉很难改。 2016-04-18 14:47:14
鉴于我怂恿你贴出审稿意见,我就抛砖引玉一下哈。![]() 1. Please clearly state the novelty and new contribution of the presented methodology when compared with those available in the thematic literature. 这个主要在introduction部分,突出你这篇文章和现有相关论文在理论或者应用方面的创新。可以通过阐述现有技术的不足(注意措辞,要实事求是,不要为了凸显自己的好而过分贬低别人的文章)进而引出自己为什么写这篇文章,用了什么新的方法,取得了什么进展(精度,效率,应用范围等等)。 2. The literature review is short. Some relevant references in the filed are missing (see list of additional references listed below). 这个和第一个问题还有第十三个问题是相辅相成的,把你文章相关的文章看看,学习一下别人是怎么梳理相关文献并提出相关文献不足的,然后好好的把introduction重新整理下,最好问问有经验的师兄师姐和老师。 3. It is also recommended that the authors review the overall writing since several typing errors were noted in the manuscript. 认真检查文章拼写和语法错误。一是可以让老师同学修改,如果有钱(可报销),可以让专业公司润色,并在修改稿中附上润色证明。 4. Please remove the website link at subsection 3.1 and use appropriate reference. 照做即可。尽量不要饮用网络文献并在R1版本中注意所有参考文献格式。 5. Please revise the accuracy of lengths such us "Lthigh=398.4240 mm", the level of precision is to fine. 数据的有效位数太多了。注意与实际可以测量得到的工程实际相符合。 6. The design and optimization approach considers the gait trajectories given in Fig. 3. However, for most of the pathologies, different patterns must be considered. How are different patterns incorporated in the presented approach? 不太懂。是不是要你讨论不同的路径对优化结果会有怎样的影响? 7. The objective function should be revised. In multiobjective optimization function, it is important to scale appropriately all contributions to the objective function. In equation (22), the authors are adding quantities with different dimensions. Note that results of optimization would change by changing units. Also, a discussion is needed about how to find appropriate weight factors for each term. 是不是你的公式22的优化目标函数的变量单位不统一还是啥的?然后还有就是要对优化变量的权重参数进行讨论(写一段话说明你为啥选这个权重,可以引一些参考文献之类) 8. The optimized profile must be compared with other obtained profiles. 你提出的优化方法的结果和其他方法或者未经优化的结果比较,显出你的牛逼之处。 9. The method can be used for low speed applications, since only kinematics aspects are analyzed. High-speed applications need to consider induced vibrations in other components, such as springs, with implications also on the cam profiles. A comment is needed in this sense. 讨论一下高速运动状态下,你这个方法的适用性和局限性。 10. The authors may want to comment on the computational accuracy and efficiency of the proposed approach when compared with alternative cam design methodologies. 讨论一下你这个方法和其他方法相比的精度和效率方面的比较。(最好是算同一个例子列结果,不知道你原文有没有这一块,如果没有又不想加话,小修文章怎么改最好和同学老师讨论一下。) 11. The validation, in terms of implementation and utilization for actual rehabilitation situations must be comments. In fact, doing this, it will be clear the benefits in comparison for alternative systems for gait rehabilitation. 还是缺乏讨论的问题。你这个方法在实际工程中的应用前景如何,请讨论。 12. Please clearly demonstrate the differences, benefits and merits of the proposed solution when compared with the one available in Ref. [8.]. See for instance, CAD model presented. 和现有方法对比,同上 13. Please consider the following recommended references: ... 直接表示感谢并且加上就好了。 总的来看,审稿人对你文章用的方法评价尚可。主要的问题在于两方面,一是你方法的描述(如EQ22)上存在一些小问题,比如权重参数的选取啊,变量的有效位数啊等。 二是你文章存在和现有方法讨论不够的问题。主要表现在对现有文献的了解综述不够,对于你的优化方法的创新叙述不够,没有表现出新意。结果缺乏和现有方法的对比。讨论等等。(就是没有说明1、别人做了什么,有什么不足,2、自己为了提高别人哪一个不足提出了本文的方法并通过数值或者试验证明你的方法成功的提高了精度或者效率。) |
7楼2016-04-18 13:48:54
ggamis
至尊木虫 (职业作家)
- 应助: 63 (初中生)
- 金币: 26928.2
- 红花: 28
- 帖子: 3724
- 在线: 1032.5小时
- 虫号: 1776355
- 注册: 2012-04-24
- 性别: GG
- 专业: 机械动力学
3楼2016-04-18 11:15:42
溪风雨
金虫 (正式写手)
- 应助: 0 (幼儿园)
- 金币: 1128.2
- 散金: 215
- 帖子: 320
- 在线: 38小时
- 虫号: 3746441
- 注册: 2015-03-17
- 性别: GG
- 专业: 机构学与机器人
6楼2016-04-18 11:41:28
溪风雨
金虫 (正式写手)
- 应助: 0 (幼儿园)
- 金币: 1128.2
- 散金: 215
- 帖子: 320
- 在线: 38小时
- 虫号: 3746441
- 注册: 2015-03-17
- 性别: GG
- 专业: 机构学与机器人
2楼2016-04-18 10:59:23
溪风雨
金虫 (正式写手)
- 应助: 0 (幼儿园)
- 金币: 1128.2
- 散金: 215
- 帖子: 320
- 在线: 38小时
- 虫号: 3746441
- 注册: 2015-03-17
- 性别: GG
- 专业: 机构学与机器人
|
露卯露卯~~~脪虏虏禄脰陋碌脌赂脙虏禄赂脙脤霉拢卢拢卢拢卢 脠莽脧脗拢潞1. Please clearly state the novelty and new contribution of the presented methodology when compared with those available in the thematic literature. 2. The literature review is short. Some relevant references in the filed are missing (see list of additional references listed below). 3. It is also recommended that the authors review the overall writing since several typing errors were noted in the manuscript. 4. Please remove the website link at subsection 3.1 and use appropriate reference. 5. Please revise the accuracy of lengths such us "Lthigh=398.4240 mm", the level of precision is to fine. 6. The design and optimization approach considers the gait trajectories given in Fig. 3. However, for most of the pathologies, different patterns must be considered. How are different patterns incorporated in the presented approach? 7. The objective function should be revised. In multiobjective optimization function, it is important to scale appropriately all contributions to the objective function. In equation (22), the authors are adding quantities with different dimensions. Note that results of optimization would change by changing units. Also, a discussion is needed about how to find appropriate weight factors for each term. 8. The optimized profile must be compared with other obtained profiles. 9. The method can be used for low speed applications, since only kinematics aspects are analyzed. High-speed applications need to consider induced vibrations in other components, such as springs, with implications also on the cam profiles. A comment is needed in this sense. 10. The authors may want to comment on the computational accuracy and efficiency of the proposed approach when compared with alternative cam design methodologies. 11. The validation, in terms of implementation and utilization for actual rehabilitation situations must be comments. In fact, doing this, it will be clear the benefits in comparison for alternative systems for gait rehabilitation. 12. Please clearly demonstrate the differences, benefits and merits of the proposed solution when compared with the one available in Ref. [8.]. See for instance, CAD model presented. 13. Please consider the following recommended references: ... |
4楼2016-04-18 11:34:23
|
5楼2016-04-18 11:35:08
ggamis
至尊木虫 (职业作家)
- 应助: 63 (初中生)
- 金币: 26928.2
- 红花: 28
- 帖子: 3724
- 在线: 1032.5小时
- 虫号: 1776355
- 注册: 2012-04-24
- 性别: GG
- 专业: 机械动力学
8楼2016-04-18 13:55:09
溪风雨
金虫 (正式写手)
- 应助: 0 (幼儿园)
- 金币: 1128.2
- 散金: 215
- 帖子: 320
- 在线: 38小时
- 虫号: 3746441
- 注册: 2015-03-17
- 性别: GG
- 专业: 机构学与机器人
9楼2016-04-23 23:32:21
溪风雨
金虫 (正式写手)
- 应助: 0 (幼儿园)
- 金币: 1128.2
- 散金: 215
- 帖子: 320
- 在线: 38小时
- 虫号: 3746441
- 注册: 2015-03-17
- 性别: GG
- 专业: 机构学与机器人
10楼2016-04-25 07:16:28













回复此楼
你好逗啊,就贴了个1,2,3,4. ..13 你让大家怎么给你意见。。 
