| ²é¿´: 7126 | »Ø¸´: 4 | ||
wen cai fuͳæ (СÓÐÃûÆø)
|
[ÇóÖú]
DMAP ÒÑÓÐ1È˲ÎÓë
|
|
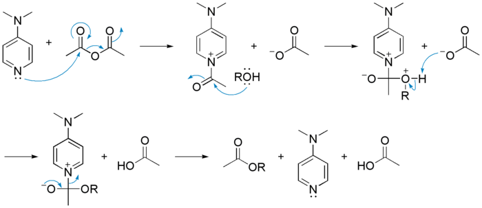
¶¡¶þËáôûÓë´¼ôÇ»ùʱ£¬ÓÃDMAPµÄ·´Ó¦»úÀíÊÇʲô£¿ @lifeliuyan ·¢×ÔСľ³æAndroid¿Í»§¶Ë |
» ²ÂÄãϲ»¶
284Çóµ÷¼Á
ÒѾÓÐ3È˻ظ´
085601Ò»Ö¾Ô¸ÖÐɽ´óѧÉîÛÚ²ÄÁϹ¤³Ì330Çóµ÷¼Á
ÒѾÓÐ3È˻ظ´
Ò»Ö¾Ô¸±±»¯085600²ÄÁÏר˶275|ÓÐÎÄÕÂרÀû£üÇóµ÷¼Á
ÒѾÓÐ12È˻ظ´
²ÄÁÏרҵÉ격
ÒѾÓÐ4È˻ظ´
311Çóµ÷¼ÁÒ»Ö¾Ô¸ºÏ·Ê¹¤Òµ´óѧ
ÒѾÓÐ5È˻ظ´
070300»¯Ñ§279Çóµ÷¼Á
ÒѾÓÐ6È˻ظ´
²ÄÁÏÓ뻯¹¤£¨0856£©304ÇóBÇøµ÷¼Á
ÒѾÓÐ9È˻ظ´
085601 329·Öµ÷¼Á
ÒѾÓÐ3È˻ظ´
±¾2Ò»Ö¾Ô¸C9-333·Ö£¬²ÄÁÏ¿ÆÑ§Ó빤³Ì£¬Çóµ÷¼Á
ÒѾÓÐ3È˻ظ´
Ò»Ö¾Ô¸´óÁ¬Àí¹¤´óѧ²ÄÁÏÇóµ÷¼Á
ÒѾÓÐ5È˻ظ´
york6999
ľ³æÖ®Íõ (ÖªÃû×÷¼Ò)
- Ó¦Öú: 74 (³õÖÐÉú)
- ¹ó±ö: 0.12
- ½ð±Ò: 51317.9
- É¢½ð: 3812
- ºì»¨: 110
- Ìû×Ó: 5655
- ÔÚÏß: 1103.8Сʱ
- ³æºÅ: 781955
- ×¢²á: 2009-05-29
- רҵ: Ò©Îﻯѧ
¡¾´ð°¸¡¿Ó¦Öú»ØÌû
¸Ðл²ÎÓ룬ӦÖúÖ¸Êý +1
2Â¥2016-04-17 19:59:28
york6999
ľ³æÖ®Íõ (ÖªÃû×÷¼Ò)
- Ó¦Öú: 74 (³õÖÐÉú)
- ¹ó±ö: 0.12
- ½ð±Ò: 51317.9
- É¢½ð: 3812
- ºì»¨: 110
- Ìû×Ó: 5655
- ÔÚÏß: 1103.8Сʱ
- ³æºÅ: 781955
- ×¢²á: 2009-05-29
- רҵ: Ò©Îﻯѧ
¡¾´ð°¸¡¿Ó¦Öú»ØÌû
|
DMAPµÄßÁवªÔ×Ó½ø¹¥ÒÒËáôûÇ×µçµÄôÊ»ù̼£¬ÐγÉ1-ÒÒõ£»ù-4-¶þ¼×°±»ùßÁà¤ÑΣ¬ÆäÖÐÒÒõ£»ù¶þ¼×°±»ùßÁà¤ÑÎÕýÀë×ÓÓëÒÒËá¸ùÀë×ÓÐγÉÒ»¸ö²» ½ôÃܵÄÀë×Ó¶Ô¡£´¼µÄÑõÔ×ÓÇ׺˽ø¹¥ÓëßÁà¤ÏàÁ¬µÄÒÒõ£»ù̼Ô×Ó£¬¶øºóµÚÒ»²½²úÉúµÄÒÒËá¸ùÀë×ÓÁ¢¼´¶áÈ¡´¼µÄÇ⣬ȻºóÑõ¸º°ÑßÁ़·³öÈ¥£¬²úÉúõ¥£¬Í¬Ê±ÖØÐÂÉú³É DMAP´ß»¯¼Á£¬½øÐÐÏÂÒ»¸öÑ»·¡£DMAPµÄ´ß»¯Ð§¹û±ÈÀàËÆµÄßÁà¤ÒªÇ¿ºÜ¶àµÄÔÒò£¬Ö÷ÒªÓÐÒÔϼ¸µã£º DMAPÖеĶþ¼×°±»ùÓиøµç×ÓЧӦ£¬Ç¿ÁÒµØÔö¼ÓÁËßÁऻ·Éϵĵç×ÓÃܶȣ¬Ê¹ßÁऻ·µªÔ×ӵļîÐÔºÍÇ׺ËÐÔÔöÇ¿¡£ µÚÒ»²½ÐγɵÄõ£»ù-4-¶þ¼×°±»ùßÁà¤ÑηÖ×ÓÖÐÐĵçºÉ·ÖÉ¢£¬ÐγÉÒ»¸öÁ¬½Ó²»½ôÃܵÄÀë×Ó¶Ô£¬Ëá¼î´ß»¯ÏÂÓÐÀûÓÚÇ׺ËÊÔ¼ÁÏò»î»¯µÄõ£»ù½øÐнø¹¥¡£ õ£»ù-4-¶þ¼×°±»ùßÁà¤ÑÎÕýÀë×ÓÓÉÓÚÈ¡´ú»ùµÄÔµ¹Ê£¬¿ÉÒÔÒò¹²ÕñЧӦ¶øµÃµ½Îȶ¨¡£ |
3Â¥2016-04-17 20:08:08
wen cai fu
ͳæ (СÓÐÃûÆø)
- Ó¦Öú: 0 (Ó×¶ùÔ°)
- ½ð±Ò: 1246.8
- É¢½ð: 182
- ºì»¨: 2
- Ìû×Ó: 229
- ÔÚÏß: 50.1Сʱ
- ³æºÅ: 4090823
- ×¢²á: 2015-09-21
- ÐÔ±ð: GG
- רҵ: ÒßÃçѧ
4Â¥2016-04-18 09:43:29
wen cai fu
ͳæ (СÓÐÃûÆø)
- Ó¦Öú: 0 (Ó×¶ùÔ°)
- ½ð±Ò: 1246.8
- É¢½ð: 182
- ºì»¨: 2
- Ìû×Ó: 229
- ÔÚÏß: 50.1Сʱ
- ³æºÅ: 4090823
- ×¢²á: 2015-09-21
- ÐÔ±ð: GG
- רҵ: ÒßÃçѧ
5Â¥2016-04-18 09:45:03














»Ø¸´´ËÂ¥