| ²é¿´: 849 | »Ø¸´: 3 | ||
³¾ÊÀСÊéͯͳæ (ÕýʽдÊÖ)
|
[ÇóÖú]
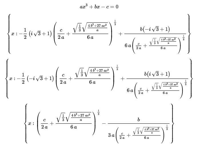
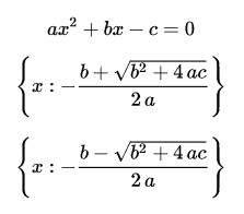
Çó·½³Ìa*x^m+b*x=cµÄ½âÎö½â ÒÑÓÐ2È˲ÎÓë
|
| ÈçÌ⣬Çó¸Ã·½³ÌµÄ½âÎö½â |
» ²ÂÄãϲ»¶
»¯Ñ§Çóµ÷¼Á
ÒѾÓÐ5È˻ظ´
Ò»Ö¾Ô¸ÖйúʯÓÍ´óѧ£¨»ª¶«£© ±¾¿ÆÆë³¹¤Òµ´óѧ
ÒѾÓÐ3È˻ظ´
332Çóµ÷¼Á
ÒѾÓÐ4È˻ظ´
265Çóµ÷¼Á
ÒѾÓÐ9È˻ظ´
328Çóµ÷¼Á£¬Ó¢ÓïÁù¼¶551£¬ÓпÆÑоÀú
ÒѾÓÐ8È˻ظ´
Çóµ÷¼Á
ÒѾÓÐ3È˻ظ´
278Çóµ÷¼Á
ÒѾÓÐ6È˻ظ´
307Çóµ÷¼Á
ÒѾÓÐ10È˻ظ´
279·ÖÇóµ÷¼Á Ò»Ö¾Ô¸211
ÒѾÓÐ12È˻ظ´
297Çóµ÷¼Á
ÒѾÓÐ9È˻ظ´
peterflyer
ľ³æÖ®Íõ (ÎÄѧ̩¶·)
peterflyer
- ÊýѧEPI: 10
- Ó¦Öú: 20282 (Ժʿ)
- ½ð±Ò: 146160
- ºì»¨: 1374
- Ìû×Ó: 93091
- ÔÚÏß: 7694.3Сʱ
- ³æºÅ: 1482829
- ×¢²á: 2011-11-08
- ÐÔ±ð: GG
- רҵ: ¹¦ÄÜÌÕ´É
2Â¥2016-04-12 03:52:20
Edstrayer
°æÖ÷ (ÖøÃûдÊÖ)
·½´ç¶·ÊÒСÌìµØÕýÆøÃÔÂþ´óÊÀ½ç
- ÊýѧEPI: 7
- Ó¦Öú: 157 (¸ßÖÐÉú)
- ¹ó±ö: 0.927
- ½ð±Ò: 9349.6
- É¢½ð: 4503
- ºì»¨: 77
- ɳ·¢: 2
- Ìû×Ó: 2745
- ÔÚÏß: 1465.6Сʱ
- ³æºÅ: 3086598
- ×¢²á: 2014-03-25
- ¹ÜϽ: Êýѧ

3Â¥2016-04-12 04:14:27
m06z511
ľ³æ (Ö°Òµ×÷¼Ò)
- Ó¦Öú: 48 (СѧÉú)
- ½ð±Ò: 13430.3
- É¢½ð: 120
- ºì»¨: 46
- Ìû×Ó: 3802
- ÔÚÏß: 602.3Сʱ
- ³æºÅ: 537722
- ×¢²á: 2008-04-01
- רҵ: »ù´¡ÎïÀíѧ
4Â¥2016-04-12 15:15:01













»Ø¸´´ËÂ¥
40