| 查看: 2314 | 回复: 8 | |||
daijiantao新虫 (正式写手)
|
[求助]
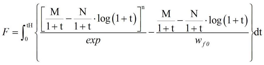
用Matlab化简一个复杂含参积分式的函数表达式 已有1人参与
|
||
|
|
|||
| 回帖置顶 ( 共有1个 ) | |||
月只蓝主管区长 (职业作家)
|
【答案】应助回帖
★ ★ ★ ★ ★ ★ ★ ★ ★ ★ ★ ★ ★ ★ ★ ★ ★ ★ ★ ★
daijiantao: 金币+20, ★★★★★最佳答案, 非常感谢! 2016-04-11 21:34:58 |
||
![]() |
|||
|
8楼2016-04-11 10:00:43
|
|
||
| 普通回帖 | |||
月只蓝主管区长 (职业作家)
|
|||
![]() |
|||
|
2楼2016-04-07 13:51:21
|
|
||
daijiantao新虫 (正式写手)
|
|||
|
3楼2016-04-07 23:45:21
|
|
||
wyyacgh铁杆木虫 (职业作家)
|
|||
![]() |
|||
|
4楼2016-04-08 07:21:45
|
|
||
月只蓝主管区长 (职业作家)
|
|||
![]() |
|||
|
5楼2016-04-08 09:30:09
|
|
||
daijiantao新虫 (正式写手)
|
|||
|
6楼2016-04-10 23:15:42
|
|
||
|
|||
![]() |
|||
|
7楼2016-04-10 23:56:06
|
|
||
daijiantao新虫 (正式写手)
|
|||
|
9楼2016-04-11 21:59:05
|
|
||














回复此楼

