±±¾©Ê¯ÓÍ»¯¹¤Ñ§Ôº2026ÄêÑо¿ÉúÕÐÉú½ÓÊÕµ÷¼Á¹«¸æ
²é¿´: 844  |  »Ø¸´: 5

ÍòÄܵÄÇàÄê

Ö÷¹ÜÇø³¤

ÓÅÐ㣡£¡ÓÐľÓУ¡£¡£¡ÓÅÐ㣡£¡ÓÐľÓУ¡£¡£¡ÓÅÐ㣡£¡ÓÐľÓУ¡£¡£¡ÓÅÐ㣡£¡ÓÐľÓУ¡£¡£¡

[ÇóÖú] ÈÈÖØ·ÖÎö ÇóÖú°¡£¡£¡£¡ ÒÑÓÐ2È˲ÎÓë

´ß»¯¼ÁµÄǰÇýÌå¶¼ÊÇ̼ËáÑΠ µ«ÊǺ¬¸ÆµÄÀï±ßûÓÐ̼Ëá¸ÆµÄ·Ö½â·å Õâ¸öÈÈÖØµ½µ×Ôõô·ÖÎö ÍøÉϲéÁË Ã»ÓÐÃ÷È·µÄ½Ì³Ì

ÈÈÖØ·ÖÎö ÇóÖú°¡£¡£¡£¡
@A{%49F1I{_J`X5@V5YM`54.png


ÈÈÖØ·ÖÎö ÇóÖú°¡£¡£¡£¡-1
2M%EU~L6$M1HJ43C)%IX5MX.png
»Ø¸´´ËÂ¥

» ²ÂÄãϲ»¶

» ±¾Ö÷ÌâÏà¹Ø¼ÛÖµÌùÍÆ¼ö£¬¶ÔÄúͬÑùÓаïÖú:

ÒÑÔÄ   »Ø¸´´ËÂ¥   ¹Ø×¢TA ¸øTA·¢ÏûÏ¢ ËÍTAºì»¨ TAµÄ»ØÌû

liwentao2010

½û³æ

ɽÌÎ

¡¾´ð°¸¡¿Ó¦Öú»ØÌû

¡ï ¡ï
¸Ðл²ÎÓ룬ӦÖúÖ¸Êý +1
wonderfulong: ½ð±Ò+2, ллӦÖú£¬ÐÁ¿à£¡ 2016-04-05 12:41:14
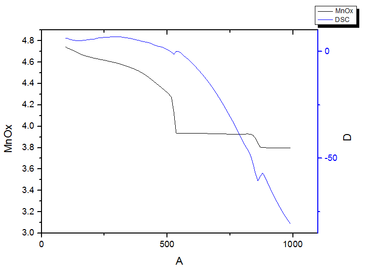
ͼÏñºÜÇå³þ£¬µÚÒ»ÕÅÖÐÓÐÁ½¸ö·ÅÈȷ壬µÚ¶þ¸öÖÐÓÐÒ»¸ö·ÅÈȷ壬Òâζ×ÅÁ½¸ö»òÒ»¸ö»¯Ñ§·´Ó¦¡£ÖÁÓÚ¾ßÌ廯ѧ·´Ó¦£¬½¨ÒéÂ¥Ö÷×ö¸öTG-MS·ÖÎöÀïÃæµÄÆøÌå³É·Ö£¬ÒÔ¼°±äÎÂXRDͼ
¼ÓÓÍ£¡
2Â¥2016-04-05 11:42:57
ÒÑÔÄ   »Ø¸´´ËÂ¥   ¹Ø×¢TA ¸øTA·¢ÏûÏ¢ ËÍTAºì»¨ TAµÄ»ØÌû

ÍòÄܵÄÇàÄê

³¬¼¶°æÖ÷

ÓÅÐ㣡£¡ÓÐľÓУ¡£¡£¡ÓÅÐ㣡£¡ÓÐľÓУ¡£¡£¡ÓÅÐ㣡£¡ÓÐľÓУ¡£¡£¡ÓÅÐ㣡£¡ÓÐľÓУ¡£¡£¡

ÒýÓûØÌû:
2Â¥: Originally posted by liwentao2010 at 2016-04-05 11:42:57
ͼÏñºÜÇå³þ£¬µÚÒ»ÕÅÖÐÓÐÁ½¸ö·ÅÈȷ壬µÚ¶þ¸öÖÐÓÐÒ»¸ö·ÅÈȷ壬Òâζ×ÅÁ½¸ö»òÒ»¸ö»¯Ñ§·´Ó¦¡£ÖÁÓÚ¾ßÌ廯ѧ·´Ó¦£¬½¨ÒéÂ¥Ö÷×ö¸öTG-MS·ÖÎöÀïÃæµÄÆøÌå³É·Ö£¬ÒÔ¼°±äÎÂXRDͼ

¶î ÎÒÃÇÕâ¸öÈÈÖØ²»´øMS ´Ó·Ö½âζÈÉÏÄܶ϶¨ÊÇʲôÎïÖÊÂð

·¢×ÔСľ³æIOS¿Í»§¶Ë
3Â¥2016-04-05 15:23:18
ÒÑÔÄ   »Ø¸´´ËÂ¥   ¹Ø×¢TA ¸øTA·¢ÏûÏ¢ ËÍTAºì»¨ TAµÄ»ØÌû

liwentao2010

гæ

ɽÌÎ

ÒýÓûØÌû:
3Â¥: Originally posted by ÍòÄܵÄÇàÄê at 2016-04-05 15:23:18
¶î ÎÒÃÇÕâ¸öÈÈÖØ²»´øMS ´Ó·Ö½âζÈÉÏÄܶ϶¨ÊÇʲôÎïÖÊÂð
...

ÄÇÒ²ÊÇÍÆ¶Ï£¬µ½ÎÄÏ×ÖÐÕÒÕÒ¿´£¬¿ÉÒÔÒýÓÃÒ»ÏÂ
¼ÓÓÍ£¡
4Â¥2016-04-05 16:25:30
ÒÑÔÄ   »Ø¸´´ËÂ¥   ¹Ø×¢TA ¸øTA·¢ÏûÏ¢ ËÍTAºì»¨ TAµÄ»ØÌû

ÍòÄܵÄÇàÄê

°æÖ÷

ÓÅÐ㣡£¡ÓÐľÓУ¡£¡£¡ÓÅÐ㣡£¡ÓÐľÓУ¡£¡£¡ÓÅÐ㣡£¡ÓÐľÓУ¡£¡£¡ÓÅÐ㣡£¡ÓÐľÓУ¡£¡£¡

5Â¥2016-04-05 19:38:34
ÒÑÔÄ   »Ø¸´´ËÂ¥   ¹Ø×¢TA ¸øTA·¢ÏûÏ¢ ËÍTAºì»¨ TAµÄ»ØÌû

060801317

Ö÷¹ÜÇø³¤

ÓÅÐ㣡£¡ÓÐľÓУ¡£¡£¡ÓÅÐ㣡£¡ÓÐľÓУ¡£¡£¡ÓÅÐ㣡£¡ÓÐľÓУ¡£¡£¡ÓÅÐ㣡£¡ÓÐľÓУ¡£¡£¡

¡¾´ð°¸¡¿Ó¦Öú»ØÌû

¸Ðл²ÎÓ룬ӦÖúÖ¸Êý +1
²éÎÄÏ×£¬È˼ÒÓÐ˵µÄ£¬Ç°ÃæÊ¼ÖÕËÙÂʱȽÏÒ»ÖµÄÊÇ̼ËáÑεķֽ⣬CO2»ºÂý·Å³ö£¬ºóÃæµÄ¾ÍÊÇÒ»¸öÏà±äµÄÎÊÌ⣬¿´¿´ÄãµÄÈÈÖØÊÇÔÚ¿ÕÆøÖÐ×öµÄ»¹ÊǵªÆøÖÐ×öµÄ£¬×öµ½Ã÷ÏÔÊ§ÖØµÄζȺóÍ£ÏÂÀ´£¬ÔÙ×ö¸öXRD,¾ÍÖªµÀ±ä³Éʲô ÁË
6Â¥2016-04-07 11:57:24
ÒÑÔÄ   »Ø¸´´ËÂ¥   ¹Ø×¢TA ¸øTA·¢ÏûÏ¢ ËÍTAºì»¨ TAµÄ»ØÌû
Ïà¹Ø°æ¿éÌø×ª ÎÒÒª¶©ÔÄÂ¥Ö÷ ÍòÄܵÄÇàÄê µÄÖ÷Ìâ¸üÐÂ
×î¾ßÈËÆøÈÈÌûÍÆ¼ö [²é¿´È«²¿] ×÷Õß »Ø/¿´ ×îºó·¢±í
[¿¼ÑÐ] 085601²ÄÁϹ¤³ÌÕÒµ÷¼Á +19 oatmealR 2026-03-29 20/1000 2026-04-01 20:49 by Àµ´ºÑÞ
[¿¼ÑÐ] 085801 ×Ü·Ö275 ±¾¿ÆÐÂÄÜÔ´ Çóµ÷¼Á +4 bradoner 2026-04-01 4/200 2026-04-01 20:28 by Æ«°®1568
[¿¼ÑÐ] 320·Ö£¬²ÄÁÏÓ뻯¹¤×¨Òµ£¬Çóµ÷¼Á +14 Ò»¶¨Éϰ¶aaa 2026-03-27 18/900 2026-04-01 20:10 by »ý¼«µ÷¼ÁµÄСѧÉ
[¿¼ÑÐ] ¡¾Çóµ÷¼Á¡¿085601²ÄÁϹ¤³Ìר˶ | ×Ü·Ö272 | +10 ½Å»¬µÄÊØ·¨¹«Ãñ 2026-03-27 10/500 2026-04-01 17:23 by pies112
[¿¼ÑÐ] »·¾³¹¤³Ì297·ÖÇóµ÷¼ÁÒ»Ö¾Ô¸º¼¸ßÔº +10 GENJIOW 2026-03-31 10/500 2026-04-01 01:30 by 1018329917
[¿¼ÑÐ] Ò»Ö¾Ô¸»ª¶«Àí¹¤´óѧ£¬080500ѧ˶£¬317·Ö£¬Çóµ÷¼Á +9 s1145 2026-03-31 9/450 2026-03-31 18:47 by JourneyLucky
[¿¼ÑÐ] 086000µ÷¼Á +5 7901117076 2026-03-26 5/250 2026-03-31 17:45 by 544594351
[¿¼ÑÐ] 085601Ó¢¶þÊý¶þÇóµ÷¼Á ×Ü·Ö325 +4 Óຽº½ 2026-03-31 4/200 2026-03-31 17:38 by ÌÆãå¶ù
[¿¼ÑÐ] 353Çóµ÷¼Á +3 ½­ÉÏ·ã_26 2026-03-28 3/150 2026-03-31 15:53 by jp9609
[¿¼ÑÐ] Ò»Ö¾Ô¸Öк£Ñó²ÄÁÏ357 +4 Âó¶÷Àò. 2026-03-30 4/200 2026-03-31 14:35 by ¼Çʱ¾2026
[¿¼ÑÐ] ±¾¿Æ211°²È«¹¤³Ì£¬³õÊÔ290·Ö£¬Çóµ÷¼Á +3 2719846834 2026-03-28 3/150 2026-03-31 13:52 by ÈÈÇéɳĮ
[¿¼ÑÐ] 085600 295·ÖÇóµ÷¼Á +13 W55j 2026-03-30 15/750 2026-03-31 13:29 by ÍõÁÁ_´óÁ¬Ò½¿Æ´ó
[¿¼ÑÐ] 269Çóµ÷¼Á +4 ÎÒÏë¶ÁÑÐ11 2026-03-31 4/200 2026-03-31 10:04 by cal0306
[¿¼ÑÐ] 085600£¬×¨Òµ¿Î»¯¹¤Ô­Àí£¬320·ÖÇóµ÷¼Á +6 ´ó²öС×Ó 2026-03-29 6/300 2026-03-31 10:03 by ÂÈ»¯ÑÇÏõõ£
[¿¼ÑÐ] 085602»¯¹¤Çóµ÷¼Á£¨331·Ö£© +8 111@127 2026-03-30 8/400 2026-03-30 21:23 by Ñо¿É®µ¼µ¼
[¿¼ÑÐ] 0703»¯Ñ§Çóµ÷¼Á +6 µ¤ÇàÄÌ¸Ç 2026-03-26 8/400 2026-03-30 18:33 by ̽123
[¿¼ÑÐ] 292Çóµ÷¼Á +13 ÊÇåû×ÓÒ²ÊÇÑÐ×Ó 2026-03-30 13/650 2026-03-30 18:01 by СÐì0109
[¿¼ÑÐ] 356Çóµ÷¼Á +4 gysy?s?a 2026-03-28 4/200 2026-03-29 10:32 by ÌÆãå¶ù
[¿¼ÑÐ] µ÷¼Á¿¼ÑÐ +3 Íõ½ÜÒ» 2026-03-29 3/150 2026-03-29 08:09 by fmesaito
[¿¼ÑÐ] 275Çóµ÷¼Á +10 jjjjjjjjjjl 2026-03-27 10/500 2026-03-27 23:47 by barnett0632
ÐÅÏ¢Ìáʾ
ÇëÌî´¦ÀíÒâ¼û