24小时热门版块排行榜    

北京石油化工学院2026年研究生招生接收调剂公告
查看: 281  |  回复: 0

abcabcxyzabc

新虫 (初入文坛)

[交流] 求问大神关于铰间隙的问题

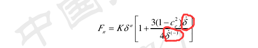
Lankarani-Nikravesh 接触力模型
接触力公式里面的相对碰撞速度和碰撞前瞬间的渗透速度两个参数要怎么求。

跪谢

求问大神关于铰间隙的问题
2.png
回复此楼
已阅   回复此楼   关注TA 给TA发消息 送TA红花 TA的回帖
相关版块跳转 我要订阅楼主 abcabcxyzabc 的主题更新
普通表情 高级回复 (可上传附件)
最具人气热帖推荐 [查看全部] 作者 回/看 最后发表
[考研] 调剂 +8 JLLLLLLLLLL 2026-04-03 8/400 2026-04-03 22:06 by 无际的草原
[考研] 288求调剂 一志愿哈工大 材料与化工 +39 洛神哥哥 2026-03-31 41/2050 2026-04-03 21:51 by qlm5820
[考研] 266求调剂 +18 阳阳哇塞 2026-04-01 18/900 2026-04-03 18:38 by zllcz
[考研] 一志愿北京交通大学材料工程总分358 +4 cs0106 2026-04-03 4/200 2026-04-03 13:41 by 百灵童888
[考研] 求调剂!生物与医药专硕 +4 逆转陆先生 2026-04-01 5/250 2026-04-03 08:33 by Jaylen.
[考研] 材料专硕322分 +10 哈哈哈吼吼吼哈 2026-04-02 10/500 2026-04-02 21:46 by dongzh2009
[考研] 322求调剂:一志愿湖南大学 材料与化工(085600),已过六级。 +12 XX小邓 2026-03-29 13/650 2026-04-02 21:39 by 百灵童888
[考研] 环境科学与工程334分求调剂 +7 王一一依依 2026-03-30 9/450 2026-04-02 21:15 by 1104338198
[考研] 349求调剂 +10 zwjjjjjj 2026-03-31 10/500 2026-04-02 20:13 by dongzh2009
[考研] 调剂 +3 好好读书。 2026-04-01 6/300 2026-04-02 15:49 by liumengping
[考研] 377求调剂 +3 RASKIN 2026-04-02 3/150 2026-04-02 09:45 by zzchen2000
[考研] 302求调剂一志愿北航070300,本科郑大化学 +8 圣日耳曼条 2026-04-01 11/550 2026-04-02 07:40 by chemdavid
[考研] 材料求调剂 +8 呢呢妮妮 2026-04-01 8/400 2026-04-02 07:13 by yjolah
[考研] 085600 一志愿9 总分351 求调剂学校 +7 czhcz 2026-03-31 9/450 2026-04-01 19:24 by 无际的草原
[考研] 0856调剂 +7 曲听筠 2026-03-30 7/350 2026-04-01 08:51 by JourneyLucky
[考研] 复试调剂 +7 双马尾痞老板2 2026-03-31 7/350 2026-03-31 19:49 by Dyhoer
[考研] 一志愿南昌大学324求调剂 +6 hanamiko 2026-03-29 6/300 2026-03-31 16:35 by hypershenger
[考研] 求收留 +8 1943443204 2026-03-28 8/400 2026-03-31 15:00 by -迷了路啊路
[考研] 英一数一总分334求调剂 +4 陈阳坤 2026-03-31 4/200 2026-03-31 14:22 by 记事本2026
[考研] 一志愿西电085401数一英一299求调剂 六级521 +4 爱吃大鸭梨 2026-03-31 4/200 2026-03-31 11:51 by 搏击518
信息提示
请填处理意见