| 查看: 349 | 回复: 2 | |
[求助]
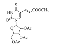
求助一个化合物的CCDC号,应该在2013/14年收录的,急急急。。。。 已有1人参与
|
|
|
|
|
|
2楼2016-03-22 14:00:43
|
|
brilliant捐助贵宾 (职业作家)
|
|
|
3楼2016-03-22 14:37:48
|
|














回复此楼