| 查看: 367 | 回复: 2 | ||
tigou木虫 (正式写手)
|
[求助]
积分函数的极限已有1人参与
|
|
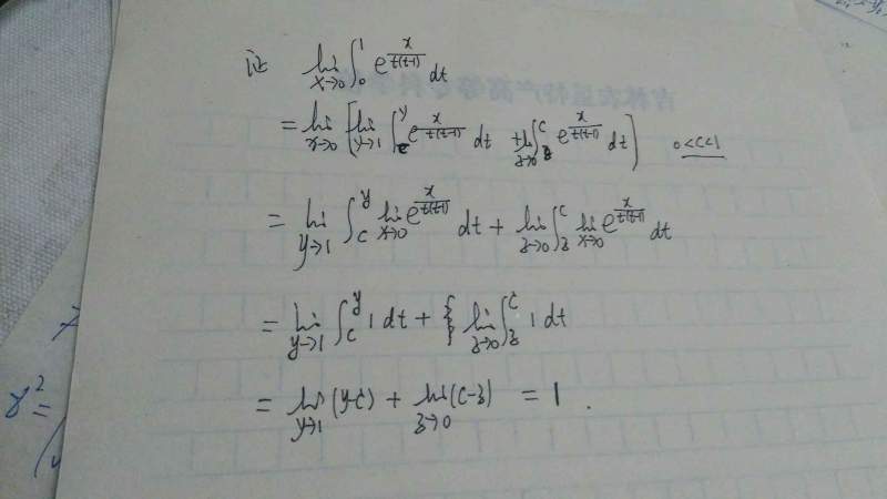
怎么证明: |
» 猜你喜欢
真诚求助:手里的省社科项目结项要求主持人一篇中文核心,有什么渠道能发核心吗
已经有6人回复
请问哪里可以有青B申请的本子可以借鉴一下。
已经有3人回复
孩子确诊有中度注意力缺陷
已经有14人回复
三甲基碘化亚砜的氧化反应
已经有4人回复
请问下大家为什么这个铃木偶联几乎不反应呢
已经有5人回复
请问有评职称,把科研教学业绩算分排序的高校吗
已经有5人回复
2025冷门绝学什么时候出结果
已经有3人回复
天津工业大学郑柳春团队欢迎化学化工、高分子化学或有机合成方向的博士生和硕士生加入
已经有4人回复
康复大学泰山学者周祺惠团队招收博士研究生
已经有6人回复
AI论文写作工具:是科研加速器还是学术作弊器?
已经有3人回复

tigou
木虫 (正式写手)
- 数学EPI: 1
- 应助: 3 (幼儿园)
- 金币: 2477.6
- 散金: 252
- 红花: 4
- 帖子: 709
- 在线: 225.9小时
- 虫号: 3724311
- 注册: 2015-03-10
- 专业: 数论

2楼2016-03-18 20:16:35
yanglijuan
新虫 (著名写手)
- 应助: 3 (幼儿园)
- 金币: 9697.3
- 红花: 6
- 帖子: 1565
- 在线: 98.5小时
- 虫号: 573448
- 注册: 2008-06-14
- 专业: 概率论与随机分析
【答案】应助回帖
★ ★ ★ ★ ★ ★ ★ ★ ★ ★
感谢参与,应助指数 +1
tigou: 金币+10, ★★★很有帮助, 谢谢参与。查了下分析教材,收敛函数的积分运算和极限运算可以交换次序。你的方法稍嫌麻烦。不过还是感谢你的关注。 2016-03-18 21:51:46
感谢参与,应助指数 +1
tigou: 金币+10, ★★★很有帮助, 谢谢参与。查了下分析教材,收敛函数的积分运算和极限运算可以交换次序。你的方法稍嫌麻烦。不过还是感谢你的关注。 2016-03-18 21:51:46
|
是不是这样的?见图 发自小木虫Android客户端 |
3楼2016-03-18 20:24:14













回复此楼