| ²é¿´: 804 | »Ø¸´: 3 | ||
jlu_lx¾èÖú¹ó±ö (³õÈëÎÄ̳)
|
[½»Á÷]
³£Î¢·Ö·½³Ì ÒÑÓÐ2È˲ÎÓë
|

peterflyer
ľ³æÖ®Íõ (ÎÄѧ̩¶·)
peterflyer
- ÊýѧEPI: 10
- Ó¦Öú: 20282 (Ժʿ)
- ½ð±Ò: 146246
- ºì»¨: 1374
- Ìû×Ó: 93091
- ÔÚÏß: 7694.3Сʱ
- ³æºÅ: 1482829
- ×¢²á: 2011-11-08
- ÐÔ±ð: GG
- רҵ: ¹¦ÄÜÌÕ´É
¡ï
Сľ³æ: ½ð±Ò+0.5, ¸ø¸öºì°ü£¬Ð»Ð»»ØÌû
Сľ³æ: ½ð±Ò+0.5, ¸ø¸öºì°ü£¬Ð»Ð»»ØÌû
|
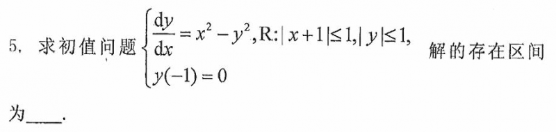
µÚÒ»Ì⣺dy/dx=(x+y)^2 Áîu=x+y Ôòy=u-x ,dy/dx=du/dx-1 ¹Ê£ºdu/dx-1=u^2 du/(1+u^2)=dx Arctanu=x+C ¼´£ºArctan(x+y)=x+C x+y=tan(x+C) y=tan(x+C)-x |
2Â¥2016-03-17 09:27:04
jlu_lx
¾èÖú¹ó±ö (³õÈëÎÄ̳)
- Ó¦Öú: 3 (Ó×¶ùÔ°)
- ½ð±Ò: 172.7
- Ìû×Ó: 48
- ÔÚÏß: 62.4Сʱ
- ³æºÅ: 1187135
- ×¢²á: 2011-01-10
- ÐÔ±ð: GG
- רҵ: µç»úÓëµçÆ÷

3Â¥2016-03-19 11:16:30
Î÷ÃÅ ß
Òø³æ (ÖøÃûдÊÖ)
- Ó¦Öú: 16 (СѧÉú)
- ½ð±Ò: 473.1
- ºì»¨: 9
- Ìû×Ó: 1797
- ÔÚÏß: 239.6Сʱ
- ³æºÅ: 4397993
- ×¢²á: 2016-02-09
- רҵ: Ô˳ïѧ

4Â¥2016-03-19 20:32:45













»Ø¸´´ËÂ¥