| 查看: 754 | 回复: 1 | |
lf19921992新虫 (小有名气)
|
[求助]
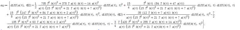
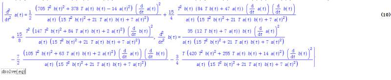
如何用Maple和Mathematica求解如下常微分方程组 已有1人参与
|
|
|
|
![]() |
|
|
2楼2016-03-17 22:39:36
|
|













回复此楼
