| 查看: 782 | 回复: 3 | |||
[求助]
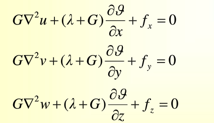
在弹性力学中,如何由拉梅方程直接导出变分格式 已有1人参与
|
|||
![]() |
|||
|
|
|||
xuejianqi金虫 (正式写手)
|
|||
|
2楼2016-03-07 19:47:50
|
|
||
![]() |
|||
|
3楼2016-03-08 21:30:54
|
|
||
sdfg_0012专家顾问 (著名写手)
|
|||
|
4楼2016-03-08 23:36:53
|
|













回复此楼
