| 查看: 1415 | 回复: 1 | ||
[求助]
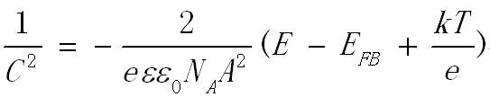
求助大咖:我做的MOFs, Mott-Schottky测出来是p-型半导体,怎么计算载流子浓度NA,
|
物质科学基础 |
» 猜你喜欢
求助
已经有1人回复
0703化学26考研调剂,一志愿南昌大学
已经有5人回复
无机化学论文润色/翻译怎么收费?
已经有204人回复
有没有化学、材料专业的同学需要调剂 考虑天津高效的可以邮件或者私信
已经有1人回复
26年博士招生
已经有16人回复
江西理工大学功能晶态材料方向刘遂军课题组招收2026年秋季入学博士研究生
已经有11人回复
宁夏大学团簇新材料团队招收材料/化学/化工专业博士生
已经有0人回复
MIL-101有单晶样品吗
已经有1人回复
已删除
已经有3人回复
收调剂研究生
已经有2人回复
【2026 考研调剂】哈尔滨工程大学核科学与技术学院核化工系 招收调剂生
已经有2人回复
小小风火轮
铜虫 (正式写手)
- 应助: 2 (幼儿园)
- 金币: 2795.6
- 散金: 1000
- 红花: 1
- 帖子: 706
- 在线: 88小时
- 虫号: 4303406
- 注册: 2015-12-22
- 专业: 无机非金属类光电信息与功
2楼2016-04-07 15:44:23














回复此楼
20