| 查看: 346 | 回复: 0 | ||
[求助]
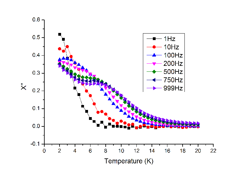
帮忙看看这个磁性结果图,能根据Tp值求出弛豫时间吗?
|
|
各位高手: 请帮帮忙看看这个磁性结果图,只有三条曲线有峰值,能根据lorentz拟合得到三个Tp点,然后进一步得到弛豫时间吗? 如果不能,该如何做?(样品测了很久了,当时没有钱所以没扫频)。 请高手帮帮忙!谢谢 ![]() x''-t.gif |
» 猜你喜欢
广州大学大湾区环境研究院环境大分子材料研究所王平山教授团队 2026年研究生招生简章
已经有0人回复
天津理工大学
已经有0人回复
无机化学论文润色/翻译怎么收费?
已经有102人回复
台州学院有序多孔材料团队最后冲刺,同学们别错过哦,请速联系!
已经有0人回复
江西科技师范大学物理化学课题组接收调剂生,名额还有,速来
已经有0人回复
求碳酸钠和碳酸氢钠的晶胞结构图或晶体结构图
已经有0人回复
求碳酸钠和碳酸氢钠的晶胞结构图或晶体结构图
已经有0人回复
江西科技师范大学物理化学课题组接收调剂生,12点开启,速来
已经有0人回复















回复此楼