| 查看: 727 | 回复: 2 | ||
| 【悬赏金币】回答本帖问题,作者xuejunru将赠送您 50 个金币 | ||
[求助]
文章回消息了,但是有地方不知道怎么修改,求大神帮忙看看!谢谢 已有1人参与
|
||
|
|
||
lopiyo木虫 (小有名气)
多酸化学
|
【答案】应助回帖
★ ★ ★ ★ ★ ★ ★ ★ ★ ★ ★ ★ ★ ★ ★ ★ ★ ★ ★ ★ ★ ★ ★ ★ ★ ★ ★ ★ ★ ★ ★ ★ ★ ★ ★ ★ ★ ★ ★ ★ ★ ★ ★ ★ ★ ★ ★ ★ ★ ★
xuejunru: 金币+50, ★★★很有帮助, 感谢你的回复,刚刚看到,实在是不好意思了 2016-03-17 10:09:19
|
|
![]() |
||
|
2楼2016-03-16 20:24:26
|
|
|
lopiyo木虫 (小有名气)
多酸化学
|
||
![]() |
||
|
3楼2016-03-16 20:25:33
|
|
|













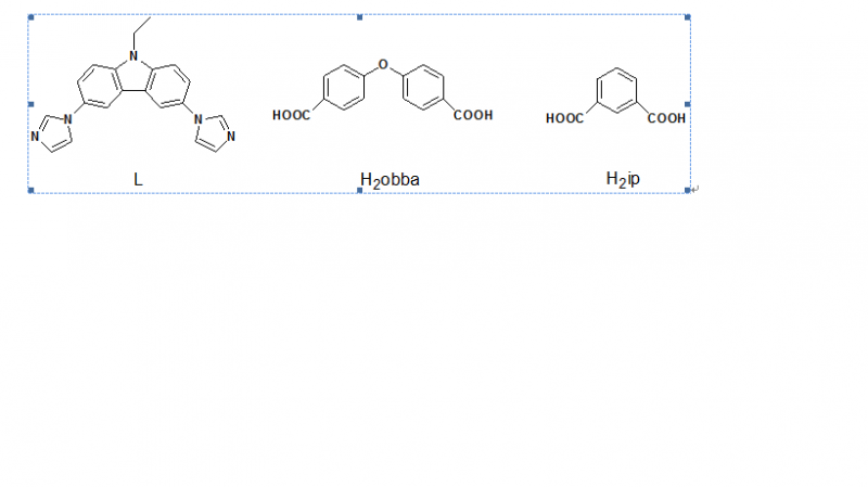
at room temperature. All of the structures were solved by direct method20 and refined with the full-matrix least-squares procedures on F2 using the SHELXS-9721 and SHELXL-97 programs22, respectively. All non-hydrogen atoms were refined anisotropically except some free solvent molecules, and all the hydrogen atom positions were generated geometrically at idealized positions and refined by using the riding model. Details of the crystal parameters, data collection, and refinements for compounds 1-3 are summarized in Table 1. Selected bond lengths and angles are listed in Table S1-S3. CCDC numbers 989823, 989824, 989821 for complexes 1–3.
回复此楼

5