24小时热门版块排行榜    

查看: 1170  |  回复: 0

woweifeng01

银虫 (小有名气)

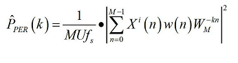
[求助] 使用 Welch 方法对每一段 M 个样本进行 FFT 运算,估算功率谱密度公式推导

请问,哪位老师知道图片当中公式怎么推导出来?
其中的fs、w(n)、WM-kn的含义?
使用 Welch 方法对每一段 M 个样本进行 FFT 运算,估算功率谱密度公式推导
公式.png
回复此楼

» 猜你喜欢

已阅   回复此楼   关注TA 给TA发消息 送TA红花 TA的回帖
相关版块跳转 我要订阅楼主 woweifeng01 的主题更新
最具人气热帖推荐 [查看全部] 作者 回/看 最后发表
[考研] 0856化工专硕求调剂 +6 董boxing 2026-03-01 6/300 2026-03-01 12:45 by houyaoxu
[考研] 306分材料调剂 +3 chuanzhu川烛 2026-03-01 4/200 2026-03-01 12:32 by houyaoxu
[考研] 302材料工程求调剂 +4 Doleres 2026-03-01 5/250 2026-03-01 11:52 by liqiongjy
[考研] 材料学调剂 +7 提神豆沙包 2026-02-28 9/450 2026-03-01 11:50 by 王伟要上岸啊
[考研] 材料284求调剂,一志愿郑州大学英一数二 +7 想上岸的土拨鼠 2026-02-28 7/350 2026-03-01 11:44 by 月下best
[考研] 317一志愿华南理工电气工程求调剂 +6 Soliloquy_Q 2026-02-28 11/550 2026-03-01 11:14 by 歌liekkas
[考研] 寻找调剂 +4 LYidhsjabdj 2026-02-28 4/200 2026-03-01 10:56 by sunny81
[论文投稿] 求助coordination chemistry reviews 的写作模板 10+3 ljplijiapeng 2026-02-27 4/200 2026-03-01 09:07 by babero
[论文投稿] Optics letters投稿被拒求助 30+3 luckyry 2026-02-26 4/200 2026-03-01 09:06 by babero
[基金申请] 面上模板改不了页边距吧? +5 ieewxg 2026-02-25 6/300 2026-03-01 00:10 by addressing
[考研] 307求调剂 +4 73372112 2026-02-28 6/300 2026-03-01 00:04 by ll247
[考研] 304求调剂 +3 52hz~~ 2026-02-28 5/250 2026-03-01 00:00 by 52hz~~
[考研] 295求调剂 +5 19171856320 2026-02-28 5/250 2026-02-28 21:39 by gaoxiaoniuma
[考研] 085600材料工程一志愿中科大总分312求调剂 +8 吃宵夜1 2026-02-28 10/500 2026-02-28 20:27 by L135790
[考研] 276求调剂 +3 路lyh123 2026-02-28 4/200 2026-02-28 19:45 by 路lyh123
[考研] 0856材料求调剂 +10 hyf hyf hyf 2026-02-28 11/550 2026-02-28 18:50 by 无际的草原
[高分子] 求环氧树脂研发1名 +3 孙xc 2026-02-25 11/550 2026-02-28 16:57 by ichall
[考研] 265分求调剂不调专业和学校有行学上就 +4 礼堂丁真258 2026-02-28 6/300 2026-02-28 16:18 by 求调剂zz
[考研] 0856调剂 +3 刘梦微 2026-02-28 3/150 2026-02-28 13:22 by houyaoxu
[硕博家园] 【博士招生】太原理工大学2026化工博士 +4 N1ce_try 2026-02-24 8/400 2026-02-26 08:40 by N1ce_try
信息提示
请填处理意见