| 查看: 533 | 回复: 2 | |
[求助]
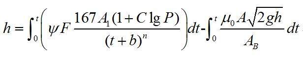
求大神帮忙解一个方程
|
|
|
|
|
Edstrayer版主 (著名写手)
方寸斗室小天地正气迷漫大世界
|
|
![]() |
|
|
2楼2016-02-20 00:53:15
|
|
龙山狮崖铁杆木虫 (正式写手)
|
|
![]() |
|
|
3楼2016-02-23 01:11:33
|
|













回复此楼

10