24小时热门版块排行榜    

查看: 774  |  回复: 0

huwenjingqq

新虫 (小有名气)

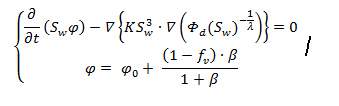
[求助] 非线性扩散方程有限差分法求解

有关改进的非线性扩散方程差分法求解,对于差分方程构建有什么好的思路?

非线性扩散方程有限差分法求解
非线性扩散方程.jpg
回复此楼
已阅   回复此楼   关注TA 给TA发消息 送TA红花 TA的回帖
相关版块跳转 我要订阅楼主 huwenjingqq 的主题更新
最具人气热帖推荐 [查看全部] 作者 回/看 最后发表
[考研] 【双一流院校新能源、环境材料,材料加工与模拟招收大量调剂】 +3 Higraduate 2026-03-22 6/300 2026-03-24 09:55 by AZMK
[考研] 一志愿山东大学药学学硕求调剂 +3 开开心心没烦恼 2026-03-23 4/200 2026-03-24 00:06 by 开开心心没烦恼
[考研] 327求调剂 +5 prayer13 2026-03-23 5/250 2026-03-23 22:11 by 星空星月
[考研] 336求调剂 +4 收到VS 2026-03-20 4/200 2026-03-23 19:02 by macy2011
[考研] 求调剂一志愿武汉理工大学材料工程(085601) +3 WW.' 2026-03-23 5/250 2026-03-23 17:18 by 枫翼ljj
[考研] 材料与化工考研调剂 +4 孅華 2026-03-22 4/200 2026-03-23 16:13 by 一休哥FU
[考研] 0854电子信息求调剂 324 +3 Promise-jyl 2026-03-23 3/150 2026-03-23 13:43 by wangkm
[考研] 070300,一志愿北航320求调剂 +3 Jerry0216 2026-03-22 5/250 2026-03-23 09:16 by 。。堂堂
[考研] 324求调剂 +6 lucky呀呀呀鸭 2026-03-20 6/300 2026-03-22 16:01 by ColorlessPI
[考博] 招收博士1-2人 +3 QGZDSYS 2026-03-18 4/200 2026-03-22 10:25 by QGZDSYS
[考研] 280求调剂 +11 咕噜晓晓 2026-03-18 12/600 2026-03-21 22:40 by ACS Nano——
[考研] 268求调剂 +9 简单点0 2026-03-17 9/450 2026-03-21 15:37 by lature00
[考研] 材料学学硕080502 337求调剂-一志愿华中科技大学 +4 顺顺顺mr 2026-03-18 5/250 2026-03-21 10:22 by luoyongfeng
[考研] 化学求调剂 +4 临泽境llllll 2026-03-17 5/250 2026-03-21 02:23 by JourneyLucky
[考研] 一志愿 西北大学 ,070300化学学硕,总分287,双非一本,求调剂。 +3 晨昏线与星海 2026-03-18 3/150 2026-03-21 00:46 by JourneyLucky
[考研] 考研调剂求学校推荐 +3 伯乐29 2026-03-18 5/250 2026-03-20 22:59 by JourneyLucky
[考研] 中南大学化学学硕337求调剂 +3 niko- 2026-03-19 6/300 2026-03-20 21:58 by luoyongfeng
[考研] A区线材料学调剂 +5 周周无极 2026-03-20 5/250 2026-03-20 21:33 by laoshidan
[考研] 085410人工智能专硕317求调剂(0854都可以) +4 xbxudjdn 2026-03-18 4/200 2026-03-20 09:07 by 不168
[考研] 材料学硕318求调剂 +5 February_Feb 2026-03-19 5/250 2026-03-19 23:51 by 23Postgrad
信息提示
请填处理意见