| ²é¿´: 3245 | »Ø¸´: 14 | |||
| µ±Ç°Ö»ÏÔʾÂú×ãÖ¸¶¨Ìõ¼þµÄ»ØÌû£¬µã»÷ÕâÀï²é¿´±¾»°ÌâµÄËùÓлØÌû | |||
ÁÖÔó¾©½ð³æ (СÓÐÃûÆø)
|
[ÇóÖú]
Çó´ó¼Ò°ïæ·ÖÎöÏÂnyquistͼ £¬×î»ù´¡µÄ¡£¡£¡£Ð»Ð»´ó¼ÒÀ² ÒÑÓÐ2È˲ÎÓë
|
||
|
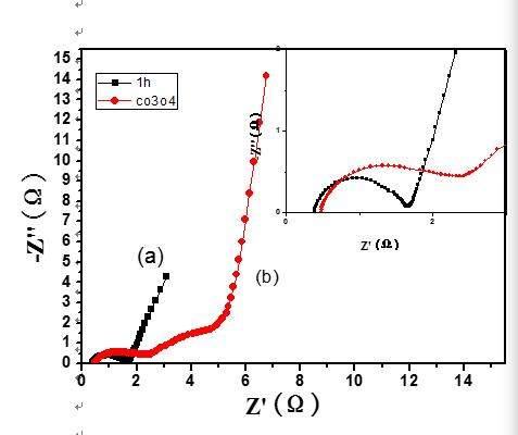
¾ÍÊÇÕâ¸ö£¬ÎÒ¿´±ðÈ˵ÄÂÛÎÄ˵ÇúÏß×ó²àÊÇ¸ßÆµÇø£¬ÓÒ²àÊÇµÍÆµÇø£¬¾ÍÊÇÕâ2ÌõÏßµÄ×óÓÒ²àô£¿°ëÔ²´ú±íʲô£¬ÎªÊ²Ã´°ëÔ²Ö®ºóÓÖ±ä³ÉÖ±ÏßÍùÉÏ×ßÁËÄØ£¿£¿£¿Çó´ó¼Ò°ï°ï棬ллÀ² 360½ØÍ¼20160216124800671.jpg |
» ÊÕ¼±¾ÌûµÄÌÔÌûר¼ÍƼö
ÄÜÔ´´¢´æÓëת»¯ |
» ±¾ÌûÒÑ»ñµÃµÄºì»¨£¨×îÐÂ10¶ä£©
» ²ÂÄãϲ»¶
Òâ´óÀû²©ÂåÄáÑÇ´óѧÕÐÆ¸Ñо¿ÖúÀí2Ãû£¨2D²ÄÁÏ/ï®Àë×ÓÓëÄÆÀë×Óµç³Ø·½Ïò£©
ÒѾÓÐ1È˻ظ´
¹ØÓÚ̼Á¿×ӵ㿹¾úµÄÑо¿
ÒѾÓÐ15È˻ظ´
·ÖÎö»¯Ñ§ÂÛÎÄÈóÉ«/·ÒëÔõôÊÕ·Ñ?
ÒѾÓÐ163È˻ظ´
ÄÏ´ó»¯Ñ§µ÷¼Á
ÒѾÓÐ11È˻ظ´
ÁòËáÄÆÈÜҺŨ¶ÈÓëÃܶÈÇúÏß
ÒѾÓÐ0È˻ظ´
0703µ÷¼Á
ÒѾÓÐ2È˻ظ´
1
ÒѾÓÐ17È˻ظ´
0703 µ÷¼Á
ÒѾÓÐ4È˻ظ´
ÕÐÊÕ
ÒѾÓÐ0È˻ظ´
Î÷ÄÏij211ÕÐ˶ʿ¡¢²©Ê¿
ÒѾÓÐ15È˻ظ´
langzhizhou
°æÖ÷ (Ö°Òµ×÷¼Ò)
- ECEPI: 13
- Ó¦Öú: 1072 (²©ºó)
- ¹ó±ö: 1.631
- ½ð±Ò: 32033.8
- É¢½ð: 6372
- ºì»¨: 305
- Ìû×Ó: 3172
- ÔÚÏß: 409.1Сʱ
- ³æºÅ: 507377
- ×¢²á: 2008-02-19
- ÐÔ±ð: GG
- רҵ: µç»¯Ñ§
- ¹ÜϽ: µç»¯Ñ§
¡¾´ð°¸¡¿Ó¦Öú»ØÌû
¡ï ¡ï ¡ï ¡ï ¡ï ¡ï ¡ï ¡ï ¡ï ¡ï
¸Ðл²ÎÓ룬ӦÖúÖ¸Êý +1
ÁÖÔó¾©: ½ð±Ò+10, ¡ï¡ï¡ï¡ï¡ï×î¼Ñ´ð°¸, ÎÒ×Ðϸ²éÁËÏÂǰ±²ËµµÄ¼¸¸ö´Ê£¬ËƺõÃ÷°×ÁË£¬Ð»Ð»À²£¬ 2016-02-17 10:05:03
¸Ðл²ÎÓ룬ӦÖúÖ¸Êý +1
ÁÖÔó¾©: ½ð±Ò+10, ¡ï¡ï¡ï¡ï¡ï×î¼Ñ´ð°¸, ÎÒ×Ðϸ²éÁËÏÂǰ±²ËµµÄ¼¸¸ö´Ê£¬ËƺõÃ÷°×ÁË£¬Ð»Ð»À²£¬ 2016-02-17 10:05:03
|
×迹Æ×ͼ°üÀ¨ºÃ¼¸¸ö£¬µ¥´¿´ÓNyquistÉÏ¿´²»µ½ÆµÂÊ£¬µ«ÊÇ×ö¹ý²âÊԵľͻáÁ˽⣬Êý¾ÝµãÊÇ´Ó×óµ½ÓÒÒÀ´Î²âÊÔµÄÀ´µÄ£¬Ò²¾ÍÊÇ´Ó¸ßÆµµ½µÍƵÖð²½¹ýÀ´µÄ£»bodeͼ»á¸üÖ±¹Û£» ¼òµ¥µÄ½²£¬EISͼ¾Í·ÖΪ°ëÔ²ºÍбÏß¡£°ëÔ²±íʾ½çÃæ£¬°ëÔ²ºÍXÖá½»µã£¬µÚÒ»¸öµã±íʾÎïÀí×迹»òÕß½Ó´¥×迹£¬µÚ¶þ¸öµã¼õÈ¥µÚÒ»¸öµãµÄÊýÖµ£¬»òÕß˵°ëÔ²µÄÏÒ³¤£¬¾ÍÊǽçÃæ·´Ó¦×迹¡£Ð±ÏߺÍÀ©É¢Ïà¹Ø ·¢×ÔСľ³æIOS¿Í»§¶Ë |

3Â¥2016-02-16 16:48:54
nanofancy
Ìú¸Ëľ³æ (ÕýʽдÊÖ)
- Ó¦Öú: 133 (¸ßÖÐÉú)
- ½ð±Ò: 7741.8
- É¢½ð: 1100
- ºì»¨: 22
- Ìû×Ó: 472
- ÔÚÏß: 253.5Сʱ
- ³æºÅ: 1163453
- ×¢²á: 2010-12-06
- ÐÔ±ð: GG
- רҵ: µç»¯Ñ§
¡¾´ð°¸¡¿Ó¦Öú»ØÌû
¸Ðл²ÎÓ룬ӦÖúÖ¸Êý +1
| ¶ÔµÎ~ÊÇÇúÏßµÄ×ó²àºÍÓҲࡣ×迹²âÁ¿ÊÇ´Ó¸ßÆµÉ¨µ½µÍƵ£¬°ëÔ²´ú±íÊǵ绯ѧ¿ØÖÆ£¬Ö®ºó±ä³ÉÖ±ÏßÊÇÒòΪÓÉÓÚÀ©É¢¿ØÖÆ¡£ |

2Â¥2016-02-16 16:27:03
ÁÖÔó¾©
½ð³æ (СÓÐÃûÆø)
- Ó¦Öú: 2 (Ó×¶ùÔ°)
- ½ð±Ò: 673.5
- É¢½ð: 5
- ºì»¨: 3
- Ìû×Ó: 206
- ÔÚÏß: 125Сʱ
- ³æºÅ: 2867000
- ×¢²á: 2013-12-12
- רҵ: µç»¯Ñ§
4Â¥2016-02-16 19:05:46
ÁÖÔó¾©
½ð³æ (СÓÐÃûÆø)
- Ó¦Öú: 2 (Ó×¶ùÔ°)
- ½ð±Ò: 673.5
- É¢½ð: 5
- ºì»¨: 3
- Ìû×Ó: 206
- ÔÚÏß: 125Сʱ
- ³æºÅ: 2867000
- ×¢²á: 2013-12-12
- רҵ: µç»¯Ñ§
5Â¥2016-02-16 19:06:32













»Ø¸´´ËÂ¥
wqtzzt