| 查看: 1844 | 回复: 2 | ||
[求助]
矩阵二范数问题已有1人参与
|
|
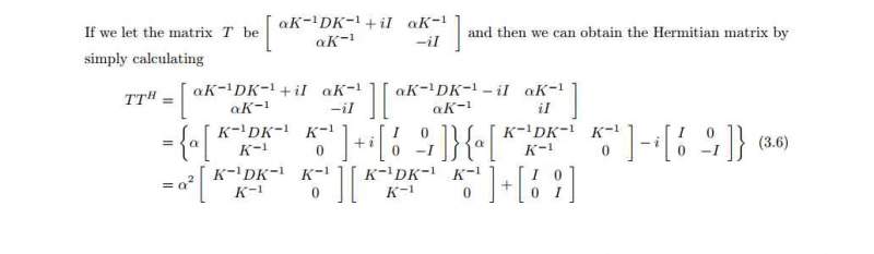
请教大神,这种做法对么? 发自小木虫Android客户端 |
» 猜你喜欢
博士读完未来一定会好吗
已经有14人回复
心脉受损
已经有4人回复
Springer期刊投稿求助
已经有4人回复
读博
已经有3人回复
小论文投稿
已经有3人回复
Bioresource Technology期刊,第一次返修的时候被退回好几次了
已经有9人回复
到新单位后,换了新的研究方向,没有团队,持续积累2区以上论文,能申请到面上吗
已经有8人回复
申请2026年博士
已经有6人回复
请问哪里可以有青B申请的本子可以借鉴一下。
已经有5人回复
2楼2016-01-30 19:18:49
math2000
铁杆木虫 (职业作家)
- 数学EPI: 2
- 应助: 239 (大学生)
- 金币: 5846.2
- 红花: 18
- 帖子: 4810
- 在线: 458.7小时
- 虫号: 235375
- 注册: 2006-04-01
- 专业: 概率论与随机分析
3楼2016-01-31 10:01:41













回复此楼