| 查看: 819 | 回复: 0 | |||
[求助]
请教高手 comsol求解偏微分方程 ,是不是按照这几个步骤??
|
|
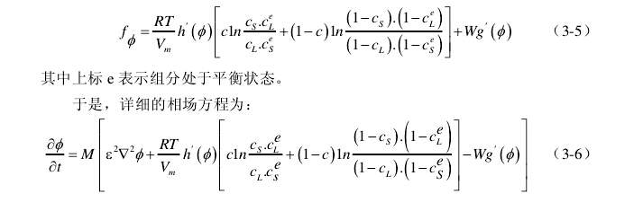
请教高手 comsol求解偏微分方程 ,是不是按照这几个步骤?? 并且要求方程的个数 等于 未知数 的个数,我要求解下面的这几个方程,是不是要按照系数型 或者 广义型格式导入comsol ?? 系数型是不是指的就是偏微分阶数的系数,从高次到低次,,?? pde.jpg liu-2015.jpg xc2015.jpg rzc-2015.jpg |
» 收录本帖的淘帖专辑推荐
comsol with matlab |
» 猜你喜欢
石墨烯转移--二氧化硅衬底石墨烯
已经有0人回复
笼目材料中量子自旋液体基态的证据
已经有0人回复
物理学I论文润色/翻译怎么收费?
已经有150人回复
数学教学论硕士可以读数学物理博士吗?
已经有0人回复
德国亥姆霍兹Hereon中心汉堡分部招镁合金腐蚀裂变SCC课题方向2026公派博士生
已经有4人回复
澳门大学 应用物理及材料工程研究院 潘晖教授课题组诚招博士后
已经有11人回复
求助NH4V4O10晶体的CIF文件
已经有0人回复
英国全奖博士招聘-深度学习与量子物理
已经有0人回复
间接带隙半导体有效质量求助
已经有1人回复
投稿chemical physical letters不送审?
已经有2人回复
南开大学物理学院张书辉副教授招收凝聚态物理理论方向博士生、硕士生
已经有16人回复













回复此楼