| 查看: 3157 | 回复: 9 | ||
[求助]
能斯特方程 已有1人参与
|
|
为什么温度越低电压越小?温度项前面部是负号吗? 发自小木虫IOS客户端 |
» 猜你喜欢
什么脱膜剂可以完全清洗干净啊?
已经有2人回复
暨南大学化学与材料学院赵宇亮院士正在招博士和博后,方向为生物材料和纳米医学
已经有1人回复
有机高分子材料论文润色/翻译怎么收费?
已经有170人回复
可生物降解聚酯正在重塑现代医疗器械
已经有0人回复
26届博士申请
已经有2人回复
PLLA 微球在生物医学领域的研究与应用
已经有1人回复
PLLA 微球的材料特性与制备工艺解析
已经有0人回复
医用聚己内酯(PCL)全解析:从两段式降解到组织工程应用
已经有0人回复
反相硅胶如何再生?
已经有1人回复
刘禹霖
铁杆木虫 (著名写手)
- 应助: 3 (幼儿园)
- 金币: 6669.5
- 散金: 202
- 红花: 6
- 帖子: 1192
- 在线: 167.1小时
- 虫号: 3399294
- 注册: 2014-09-04
- 性别: GG
- 专业: 生化分析及生物传感
2楼2016-01-28 14:15:21
3楼2016-01-28 15:18:06
4楼2016-01-29 11:50:07
【答案】应助回帖
★
感谢参与,应助指数 +1
冰点降温: 金币+1, 谢谢回帖,欢迎来无机物化版块交流。 2016-01-29 16:00:39
感谢参与,应助指数 +1
冰点降温: 金币+1, 谢谢回帖,欢迎来无机物化版块交流。 2016-01-29 16:00:39
|
我认为能斯特方程解释得不够彻底,应该用G=-zEF和麦克斯维关系式来判断。 发自小木虫Android客户端 |
5楼2016-01-29 11:51:18
6楼2016-01-30 10:43:21
★
冰点降温: 金币+1, 谢谢回帖,欢迎常来无机物化版交流。 2016-01-30 13:21:51
冰点降温: 金币+1, 谢谢回帖,欢迎常来无机物化版交流。 2016-01-30 13:21:51
|
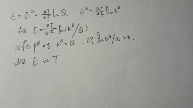
纠正接上,正的的乘积项×ln(K标准除以反应商Q),而因为电池在反应,真数部分K>Q,所以温度低电压低 发自小木虫Android客户端 |
7楼2016-01-30 11:08:34
8楼2016-01-30 21:27:12
9楼2016-01-30 21:30:43
10楼2016-01-31 06:54:03













回复此楼