| 查看: 1420 | 回复: 6 | ||
[求助]
EIS形状奇怪,不知如何解释,望各位朋友帮助已有2人参与
|
|
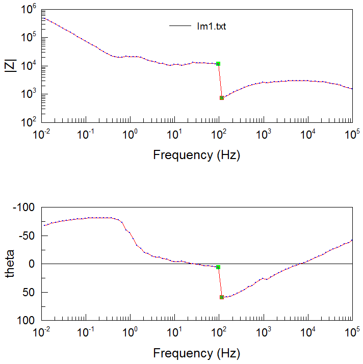
近期在做钛合金在高压实膨润土(利用实验室配制的地下水溶液润湿至不同含水率)环境中的电化学测试,下面是钛合金在55℃以上各温度下均表现出来的EIS谱图,测试电位为开路电位,谱图在100Hz处出现了图形的陡变,但是观察稳态动电位极化曲线并无异常,在前期较低的温度下测试EIS谱图也正常。请各位朋友不吝赐教,谢谢! 将高频部分放大后,与Bode图相对应如下: 辛苦各位了! |
» 猜你喜欢
招贤纳博(已结束)
已经有29人回复
表征测试机构后台私聊我
已经有0人回复
分析化学论文润色/翻译怎么收费?
已经有95人回复
Coordination Chemistry Reviews
已经有1人回复
请问现在还有电池材料方向的博导招人吗
已经有5人回复
大连工业大学招收储能电池方向博士1名
已经有0人回复

2楼2016-01-26 08:06:27
cp872168381
木虫 (著名写手)
- 应助: 2 (幼儿园)
- 金币: 4173.4
- 散金: 1000
- 红花: 20
- 帖子: 1333
- 在线: 118小时
- 虫号: 1893341
- 注册: 2012-07-15
- 性别: GG
- 专业: 无机非金属材料
3楼2016-01-26 10:44:12
lianyi2000
至尊木虫 (著名写手)
- 应助: 34 (小学生)
- 金币: 23652.4
- 散金: 517
- 红花: 17
- 帖子: 2775
- 在线: 3541小时
- 虫号: 986841
- 注册: 2010-04-01
- 性别: GG
- 专业: 电化学
4楼2016-01-26 16:57:46
5楼2016-01-27 21:11:11
6楼2016-01-27 21:11:45
7楼2016-01-27 21:12:45













回复此楼
)
