| 查看: 832 | 回复: 3 | |||
[求助]
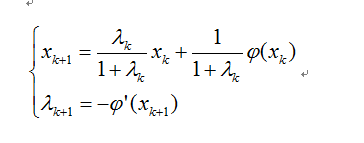
求加速迭代的λ 已有2人参与
|
|||
![]() |
|||
|
|
|||
wurongjun专家顾问 (职业作家)
|
|||
![]() |
|||
|
2楼2016-01-25 18:12:03
|
|
||
【答案】应助回帖
★ ★ ★ ★
感谢参与,应助指数 +1 小石头ww: 金币+4, ★有帮助 2016-01-26 18:16:36
|
|||
![]() |
|||
|
3楼2016-01-25 19:28:00
|
|
||
【答案】应助回帖
★
小石头ww(Edstrayer代发): 金币+1 2016-02-04 03:31:22 |
|||
![]() |
|||
|
4楼2016-01-25 19:47:28
|
|













回复此楼
