| 查看: 2135 | 回复: 10 | ||
年__少金虫 (小有名气)
|
[求助]
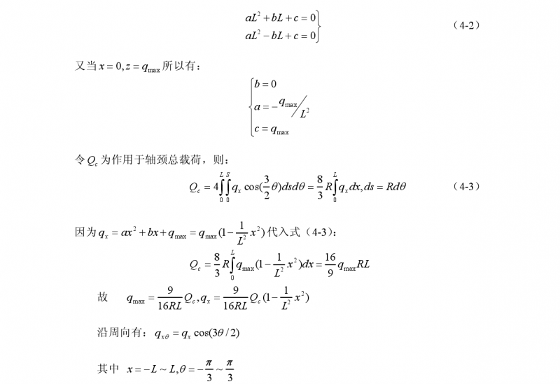
哪位大神知道在ANSYSworkbench中怎么添加这样的载荷???已有1人参与
|
仿真 |
» 猜你喜欢
deform环件轧制
已经有0人回复
溶胶凝胶法制备玻璃包覆铜粉粒径问题
已经有10人回复
金属材料论文润色/翻译怎么收费?
已经有50人回复
寻找论文指导老师
已经有6人回复
南方科技大学机械与能源工程系-邓辉研究员招收2026级博士生
已经有0人回复
南方科技大学机械与能源工程系-邓辉研究员招收2026级博士生
已经有0人回复
溶胶凝胶制备玻璃粉工艺
已经有0人回复
解决渗碳体倾斜角度问题
已经有0人回复
南方科技大学机械与能源工程系-邓辉研究员招收2026级博士生
已经有0人回复
2025-2026国产空气检漏仪/气密测漏仪/气密性测试仪推荐生产厂家
已经有0人回复

2楼2016-01-28 14:43:36
黑马王子甲
木虫 (著名写手)
- 应助: 14 (小学生)
- 金币: 2635.8
- 散金: 723
- 红花: 87
- 帖子: 1642
- 在线: 408.9小时
- 虫号: 2964147
- 注册: 2014-02-11
- 性别: GG
- 专业: 交通工程
|
这个不是很复杂吧,可以用APDL编程加载,先是通过角度范围和半径范围选中要加载的点,然后两个循环:轴向和径向,进行力的加载。但是如果你对软件没有最基本的了解的话就没法子了 发自小木虫Android客户端 |

3楼2016-01-28 15:29:14
terrynew
铁杆木虫 (小有名气)
自定义头衔
- 应助: 51 (初中生)
- 金币: 7838.4
- 红花: 10
- 帖子: 264
- 在线: 59.7小时
- 虫号: 1292868
- 注册: 2011-05-11
- 性别: GG
- 专业: 机械结构强度学

4楼2016-01-28 16:47:25
年__少
金虫 (小有名气)
- 应助: 1 (幼儿园)
- 金币: 342.1
- 散金: 4
- 帖子: 76
- 在线: 33.2小时
- 虫号: 3878794
- 注册: 2015-05-19
- 性别: GG
- 专业: 制造系统与自动化

5楼2016-01-28 21:06:35
年__少
金虫 (小有名气)
- 应助: 1 (幼儿园)
- 金币: 342.1
- 散金: 4
- 帖子: 76
- 在线: 33.2小时
- 虫号: 3878794
- 注册: 2015-05-19
- 性别: GG
- 专业: 制造系统与自动化

6楼2016-01-28 21:07:32
年__少
金虫 (小有名气)
- 应助: 1 (幼儿园)
- 金币: 342.1
- 散金: 4
- 帖子: 76
- 在线: 33.2小时
- 虫号: 3878794
- 注册: 2015-05-19
- 性别: GG
- 专业: 制造系统与自动化

7楼2016-01-28 21:08:50
8楼2016-01-28 21:11:50
fain0731
金虫 (小有名气)
- 应助: 9 (幼儿园)
- 金币: 1542.8
- 红花: 3
- 帖子: 243
- 在线: 98.8小时
- 虫号: 2105833
- 注册: 2012-11-04
- 性别: GG
- 专业: 机械动力学
9楼2016-01-29 00:24:49
年__少
金虫 (小有名气)
- 应助: 1 (幼儿园)
- 金币: 342.1
- 散金: 4
- 帖子: 76
- 在线: 33.2小时
- 虫号: 3878794
- 注册: 2015-05-19
- 性别: GG
- 专业: 制造系统与自动化

10楼2016-01-29 09:38:29














回复此楼
